Artículo de investigación

 

Depresión, ansiedad y estrés en estudiantes cubanos de Estomatología durante el rebrote de la COVID-19

Depression, anxiety and stress in Cuban dental students during the COVID-19 resurgence

 

Ibraín Enrique Corrales-Reyes1* https://orcid.org/0000-0002-2146-9014
José Daniel Villegas-Maestre2 https://orcid.org/0000-0002-7959-9217
Renzo Felipe Carranza-Esteban3 https://orcid.org/0000-0002-4086-4845
Oscar Javier Mamani-Benito4 https://orcid.org/0000-0002-9818-2601

 

1Hospital General Provincial "Carlos Manuel de Céspedes". Servicio de Cirugía Maxilofacial. Bayamo, Granma, Cuba.
2Hospital Clínico Quirúrgico Docente "Celia Sánchez Manduley". Manzanillo, Granma, Cuba.
3Universidad San Ignacio de Loyola. Facultad de Humanidades. Lima, Perú.
4Universidad Señor de Sipán. Facultad de Derecho y Humanidades. Escuela de Psicología. Chiclayo, Perú.

*Autor para la correspondencia. Correo electrónico: iecorralesr@infomed.sld.cu

 

 


RESUMEN

Introducción: La pandemia de la COVID-19 ha incidido negativamente en la salud mental de los estudiantes y es necesario evaluar dichas manifestaciones psicológicas.
Objetivo: Identificar los niveles de depresión, ansiedad y estrés en estudiantes cubanos de Estomatología durante el rebrote de la COVID-19.
Métodos: Estudio observacional, descriptivo y transversal. Se utilizó la escala Depression, Anxiety and Stress, validada para el pregrado de Estomatología en Cuba. La escala estuvo disponible en un formulario de Google. Se utilizaron las redes sociales Facebook, Telegram y WhatsApp para invitar a los estudiantes. Se categorizó a la depresión, ansiedad y el estrés según puntos de corte y se obtuvieron estadísticos descriptivos.
Resultados: De los 329 encuestados de 16 universidades, el 74,16 % padecieron de depresión, ansiedad 63,22 % y estrés 68,69 %. De manera general, el 55,62 % padecieron de depresión, ansiedad y estrés.
Conclusiones: Se identificaron síntomas de depresión, ansiedad y estrés y las categorías severas son las de mayor prevalencia en el estudiantado de Estomatología.

Palabras clave: depresión; ansiedad; estrés; estudiantes de Estomatología; COVID-19.


ABSTRACT

Introduction: The COVID-19 pandemic has had a negative impact on the mental health of students and is necessary to evaluate these psychological manifestations.
Objective: To identify the levels of depression, anxiety and stress in Cuban Stomatology students during the outbreak of COVID-19.
Methods: Observational, descriptive and cross-sectional study. The Depression, Anxiety and Stress scale, validated for the undergraduate of Dentistry in Cuba was used. The scale was available in a Google form. Facebook, Telegram and WhatsApp social networks were used to invite the students. Depression, anxiety and stress were categorized according to cut-off points and descriptive statistics were obtained.
Results: Of the 329 surveyed from 16 universities, 74,16 % suffered from depression, anxiety 63,22 % and stress 68,69 %. In general, 55,62 % suffered from depression, anxiety and stress.
Conclusions: Symptoms of depression, anxiety and stress were identified, being the severe categories the most prevalent in the students of Dentistry.

Keywords: depression; anxiety; stress; dental students; COVID-19.


 

 

Recibido: 11/11/2021
Aprobado: 18/02/2022

 

 

INTRODUCCIÓN

La COVID-19 constituye una emergencia sanitaria mundial sin precedentes.(1) Sus repercusiones en la salud pública cada vez son mayores y existen poblaciones vulnerables, entre ellas, los estudiantes de ciencias de la salud,(2) quienes deben enfrentar los desafíos que demandan los cambios en la educación tradicional y, al igual que el resto de la población, la posibilidad de infectarse con el virus.(3)

La salud mental de la población en general está en riesgo,(4) máxime en el grupo de profesionales y estudiantes de la salud. En los primeros, por su alta exposición al virus debido al trabajo que realizan en primera línea, y en los segundos, debido al aislamiento social y las repercusiones académicas.(5) En ambos casos las reacciones implican experimentar síntomas de depresión, ansiedad y estrés (DAE).(6,7)

En relación a estas variables, la depresión es considerada un trastorno afectivo que se expresa a través de manifestaciones de tristeza, frustración y cambios en el estado de ánimo.(8) El estrés constituye una reacción psicofisiológica que implica respuestas neuroendocrinas, inmunológicas, emocionales y conductuales ante situaciones que demandan de una adaptación mayor que la habitual para el organismo, las cuales son percibidas como amenaza o peligro para la integridad biológica o psicológica.(9) Por otro lado, la ansiedad es una respuesta emocional cuya función es activadora y facilitadora para tener capacidad de respuesta.(10)

Una de las poblaciones en el ámbito de la salud en las que la COVID-19 ha tenido repercusiones emocionales son los estudiantes de Estomatología.(11) Por ejemplo, Chakraborty y otros,(12) en una investigación realizada en la India, hallaron que el 54 % de los estudiantes de Odontología puntuaron depresión moderada a grave. Un estudio desarrollado en Arabia Saudita comunica que los internos dentales reportaron haber sufrido depresión (11,9 %), ansiedad (7,3 %) y estrés (0,9 %).(13) Alrashed y otros(14) hallaron que el bienestar mental de los estudiantes contagiados por la COVID-19 se vio afectado 4 veces más en comparación a otros y ello impactó negativamente sobre sus habilidades psicomotoras clínicas. Finalmente, Rivera K y otros (15) acotan que las causas de estas alteraciones psicológicas se deben a la sobrecarga académica, falta de tiempo para cumplir con las actividades que demanda la universidad, exámenes y un mayor número de cursos y tareas pendientes.

En Cuba estas manifestaciones psicológicas han sido muy poco investigadas, y en el pregrado de Estomatología no se tienen reportes. De esta forma, el objetivo de la presente investigación es identificar los niveles de depresión, ansiedad y estrés en estudiantes cubanos de Estomatología durante el rebrote de la COVID-19.

 

 

MÉTODOS

Se realizó un estudio observacional, descriptivo y transversal. Participaron estudiantes de ambos sexos, de todos los años académicos y de todas las universidades médicas adscritas al Ministerio de Salud Pública de Cuba.

El muestreo fue no probabilístico, tipo bola de nieve, e incluyó a los alumnos que desearon participar. Se planteó como criterio de salida la no respuesta de 3 o más ítems (esto no ocurrió).

Las variables estudiadas fueron: edad; sexo; año académico; ser alumno ayudante (sí/no); presencia de comorbilidades (diabetes, asma bronquial, hipertensión arterial, cardiopatías, enfermedades renales, depresión inmunológica); tener algún familiar o amigo contagiado con la COVID-19; tener algún familiar o amigo fallecido a causa de la COVID-19; así como el haber padecido de síntomas respiratorios durante el rebrote de la enfermedad.

El instrumento original es la escala Depression, Anxiety and Stress (DASS-21), que posee 21 ítems calificados cuantitativamente mediante una escala Likert de 4 puntos, que transcurre desde 0 (no me ha ocurrido) a 3 (me ha ocurrido mucho).(16)

El presente equipo de investigación validó dicho instrumento en el pregrado de Estomatología en Cuba y este fue el que se utilizó en este estudio.(17) El análisis factorial confirmatorio durante el proceso de validación evidenció que la estructura factorial de 21 ítems distribuidos en 3 factores es satisfactoria. La confiabilidad se estimó con el coeficiente α de Cronbach. Para el factor depresión, el valor del indicador fue α = 0,923 (IC 95 % = 0,90 - 0,93), para el factor ansiedad (α = 0,866; IC 95 % = 0,83 - 0,89) y para el factor estrés (α = 0,941; IC 95 % = 0,92 - 0,95); evidenciando que las puntuaciones de la escala son confiables.

La aplicación de la escala se realizó en el contexto de rebrote de la COVID-19, caracterizado por los diagnósticos diarios de elevadas cifras de personas contagiadas con el SARS-CoV-2, muy superiores en comparación con los diagnósticos en fecha similar de la primera etapa de la enfermedad. El retorno a las clases se mantenía a expensas de la evolución favorable de la situación epidemiológica y los estudiantes realizaban pesquisas orientadas a la indagación, a fin de identificar signos y síntomas sugerentes de la infección.

La escala estuvo disponible durante el período desde el 8 de marzo de 2021 hasta el 16 de abril de 2021, en un formulario de Google. Se utilizaron las redes sociales Facebook, Telegram y WhatsApp para invitar a los estudiantes, a quienes se les comunicó el objetivo de la investigación y se les solicitó el consentimiento informado antes de comenzar a responder. El tiempo promedio empleado para contestar la escala fue 10 minutos. Se exportaron los datos del formulario a una base de datos creada en el programa Microsoft Excel (versión 2019 para Windows). Para la categorización se utilizaron los puntos de corte analizados por Antony y otros(16) (tabla 1).

Se respetaron los aspectos de la Declaración de Helsinki para la investigación en seres humanos. Se contó con la aprobación del Comité de Ética del Hospital General Provincial "Carlos Manuel de Céspedes".

 

 

 

RESULTADOS

Participaron 329 estudiantes procedentes de 16 universidades de los cuales 243 fueron mujeres (73,86 %). El promedio de edad fue de 21,29 ± 2,64 años. El año académico mayormente representado fue el quinto (n= 99; 30,09 %). El 57,75 % (n= 190) de los participantes eran alumnos ayudantes.

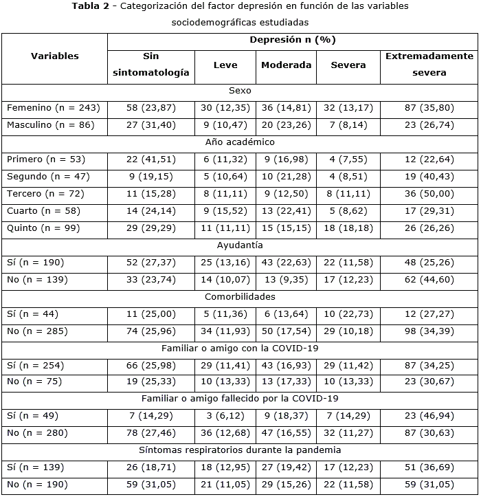
La tabla 2 muestra que el 25,84 % de los participantes (n= 85) no presentó síntomas depresivos, si bien el 45,28 % (n= 149) de estos padeció depresión con intensidad severa o extremadamente severa. Las mujeres (n= 119; 48,97 %), los estudiantes del tercer año académico (n= 23; 48,94 %), los que tenían algún familiar/amigo contagiado (n= 116; 45,67 %) con la COVID-19 o fallecido por esta causa (n= 30; 61,22 %), así como los que habían tenido síntomas respiratorios durante el rebrote de la pandemia (n= 68; 48,92 %) padecieron depresión en mayor intensidad (severa o extremadamente severa).

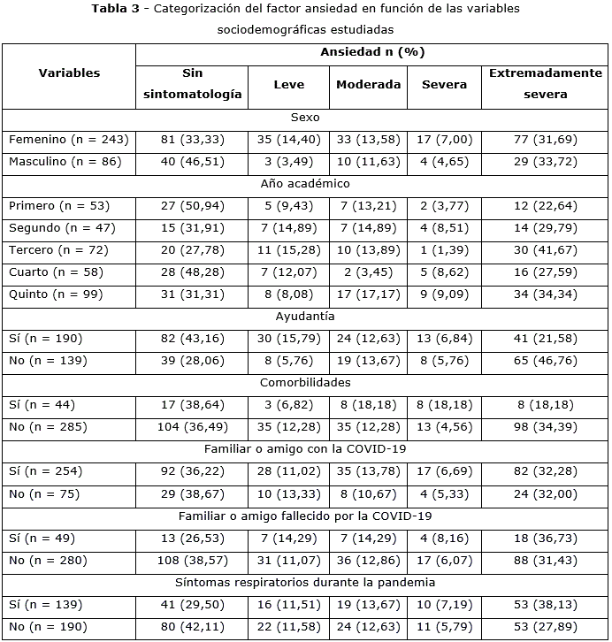
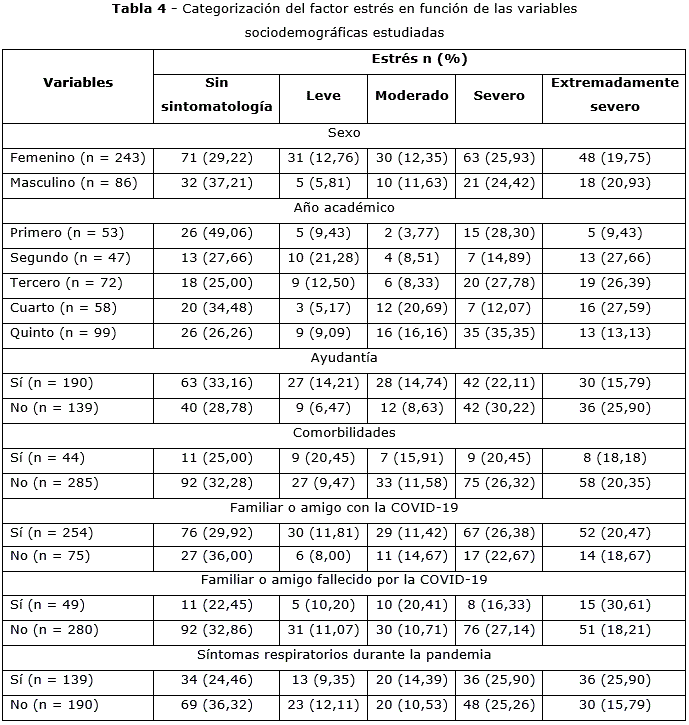
Las categorizaciones de los factores ansiedad y estrés según las variables sociodemográficas estudiadas se muestra en la tabla 3 y la tabla 4 por ese orden. De forma independiente, padecieron de depresión 244 encuestados (74,16 %), ansiedad 208 (63,22 %) y estrés 226 (68,69 %). De manera general, el 55,62 % de los estudiantes (n= 183) padecieron de depresión, ansiedad y estrés (tabla 5).

 

 

 

DISCUSIÓN

En el momento en que se desarrolló la investigación, debido al rebrote de la COVID-19, el escenario epidemiológico en Cuba era complejo y generó incertidumbre en el campo universitario. Al ingresar a la carrera, los estudiantes se someten a una transición entre el preuniversitario y la universidad, lo que genera un ambiente favorable para desarrollar DAE;(18) sin embargo, se encontró el porcentaje más alto en segundo y tercer año, con predominio de las categorías severas y extremadamente severas, que disminuyen en cuarto y quinto. Hakami y otros(19) reportan similares resultados en su estudio. Esto puede deberse a que en estos años los estudiantes comienzan a realizar sus prácticas clínicas con pacientes, y al verse imposibilitados de este tipo de actividades por causa de la pandemia, desarrollan manifestaciones psicológicas propias de la DAE, pues se ven privados de poder adquirir sus habilidades prácticas básicas como futuros estomatólogos.(20,21)

Se encontró, en su mayoría, alguna de las categorizaciones de DAE en estudiantes con y sin ayudantía declarada en las especialidades estomatológicas, y las manifestaciones severas y extremadamente severas fueron las más marcadas en aquellos que no pertenecían al movimiento de alumnos ayudantes (AA). Dicho movimiento se encarga de preparar al educando desde sus inicios en un perfil vocacional de su carrera, al asignarles tutores que exigen de un grado significativo de compromiso y aumentan la carga de estudios sobre temas de interés para su futuro ingreso a una especialidad. Por otra parte, incentivan la labor investigativa a través de la participación en eventos científicos y en la incorporación a proyectos de investigación, de ahí el hecho de que el AA mantuvo durante todo el año académico una labor universitaria más activa que lo aleja de estados depresivos, teniendo en cuenta que durante el rebrote de la pandemia los espacios investigativos no se detuvieron, sino que pasaron a la modalidad virtual.(20,21)

Según las características de la COVID-19, la presencia de enfermedades sistémicas crónicas (comorbilidades) en los participantes es de suma importancia, al considerar que los portadores de alguna enfermedad de base podrían llegar a sentir síntomas de DAE al asumir su vulnerabilidad a estadios más graves y letales de la enfermedad. Se observó una alta prevalencia en ambos grupos (sanos y enfermos), y fue la depresión la más predominante en su tipo severa y extremadamente severa, similares resultados se reportaron en una muestra recogida al norte de España por Ozamiz-Etxebarria y otros.(22)

Los estudiantes con algún amigo o familiar contagiado de la COVID-19, los que conocían del fallecimiento de estas personas por la enfermedad, así como los que refirieron síntomas respiratorios durante la pandemia, experimentaron, en su mayoría, DAE severa y extremadamente severa. Es lógico que el miedo se apropie de quienes poseen algún tipo de relación cercana con la infección por el SARS-CoV-2, lo cual puede aumentar además su percepción del riesgo y fomentar la aparición de DAE, al ver su entorno social habitual comprometido.(23)

Se evidenció la prevalencia conjunta de manifestaciones de depresión, ansiedad y estrés en la gran mayoría de los estudiantes, lo cual permite constatar la relación que existe entre estos tres factores. En términos conceptuales, depresión y ansiedad son diferentes, pero la superposición clínica entre ambas condiciones ha sido reportada por diversos investigadores, (24) lo cual puede explicarse por causas comunes de estados afectivos negativos. En adición, los tres estados pueden aparecer frente a condiciones contextuales comunes que los activan.

Es necesario declarar que la no realización de un muestreo aleatorio limita la validez externa de los resultados de la investigación, pues no se pueden extrapolar a la población estudiantil cubana de la carrera. Se recomienda en futuros estudios la implementación de muestreos probabilísticos. Si bien la recolección de la información fue de modo virtual por el contexto de la pandemia, es menester acotar que se utilizó una escala validada en el pregrado de Estomatología en Cuba.

Durante el rebrote de la COVID-19 en Cuba y las tensiones generadas por este se identificaron síntomas de depresión, ansiedad y estrés, y fueron sus categorías severa y extremadamente severas las de mayor prevalencia en el estudiantado de la carrera de Estomatología.

 

 

REFERENCIAS BIBLIOGRÁFICAS

1. Lee J, Solomon M, Stead T, Kwon B, Ganti L. Impact of COVID-19 on the mental health of US college students. BMC Psychol. 2021;9(1):1-10. DOI: 10.1186/s40359-021-00598-3

2. Huarcaya-Victoria J, Elera-Fitzcarrald C, Crisol-Deza D, Villanueva-Zú L, Pacherres A, Torres A, et al. Factors associated with mental health in Peruvian medical students during the COVID-19 pandemic: a multicentre quantitative study. Rev Colomb Psiquiatr. 2021; S0034-7450(21):00108-6. DOI: 10.1016/j.rcp.2021.06.002

3. Carranza-Esteban RF, Mamani-Benito OJ, Corrales-Reyes IE, Landa-Barzola M, Marca-Dueñas G, Tito-Betancur VS, et al. Evidencias psicométricas de una escala de preocupación por el contagio de la COVID-19 en internos peruanos. Rev Cubana Inv Biomed. 2021 [acceso: 20/10/2021];40(5):e1650. Disponible en: https://www.revibiomedica.sld.cu/index.php/ibi/article/view/1650/971

4. Clemente-Suárez VJ, Navarro-Jiménez E, Jimenez M, Hormeño-Holgado A, Martinez-Gonzalez MB, Benitez-Agudelo JC, et al. Impact of COVID-19 pandemic in public mental health: An extensive narrative review. Sustain. 2021;13(6):1-21. DOI: 10.3390/su13063221

5. Mejia CR, Rodriguez-Alarcon JF, Charri JC, Liendo-Venegas D, Morocho-Alburqueque N, Benites-Ibarra C, et al. Repercusión académica de la COVID-19 en universitarios peruanos. Rev Cubana Inv Biomed. 2021 [acceso: 20/10/2021]; 40(1):e814. Disponible en: http://www.revibiomedica.sld.cu/index.php/ibi/article/view/814/847

6. Rodríguez-Didalgo AJ, Dios I, Holden RR. Fear of COVID-19, Stress, and Anxiety in University Undergraduate Students: A Predictive Model for Depression. Front Psychol. 2020;11:595797. DOI: 10.3389/fpsyg.2020.591797

7. Surrati AMQ, Mansuri FMA, Alihabi AAA. Psychological impact of the COVID-19 pandemic on health care workers. J Taibah Univ Med Sci. 2020;15(6):536-43. DOI: 10.1016/j.jtumed.2020.10.005

8. Berenzon S, Lara MA, Robles R, Medina-Mora ME. Depresión: Estado del conocimiento y la necesidad de políticas públicas y planes de acción en México. Salud Publica Mex. 2013 [acceso: 20/10/2021]; 55(1):74-80. Disponible en: https://www.scielosp.org/pdf/spm/2013.v55n1/74-80/es

9. Trucco M. Estrés y trastornos mentales: aspectos neurobiológicos y psicosociales. Rev Chil Neuro-Psiquiatría. 2002; 40(2):8-19. DOI: 10.4067/S0717-92272002000600002

10. Sierra J, Ortega V, Zubeidat I. Ansiedad, angustia y estrés: tres conceptos a diferenciar. Rev Mal-Estar e Subjetividade. 2014 [acceso: 20/10/2021]; 3(1):10-59. Disponible en: http://pepsic.bvsalud.org/pdf/malestar/v3n1/02.pdf

11. Dhahri AA, Arain SY, Memon AM, Rao A, Mian MA. The psychological impact of COVID-19 on medical education of final year students in Pakistan: A cross-sectional study. Ann Med Surg. 2020;60:445-50. DOI: 10.1016/j.amsu.2020.11.025

12. Chakraborty T, Subbiah GK, Damade Y. Psychological Distress during COVID-19 Lockdown among Dental Students and Practitioners in India: A Cross-Sectional Survey. Rev Med Hered. 2021; 31(1):68-9. DOI: 10.20453/reh.v31i1.3920

13. Khanagar S, Alfadley A. Psychological Impact of the COVID-19 Pandemic on Dental Interns in Riyadh, Saudi Arabia: A Cross-sectional Survey. Int J Clin Pediatr Dent. 2020; 13(5):508-12. DOI: 10.5005/jp-journals-10005-1773

14. Alrashed FA, Sattar K, Habib SR, Ahmad T, Al Rashoud AS, Safhi TAY, et al. Implications of the COVID-19 pandemic on the mental health and professional psychomotor skills of dental students. Psychol Res Behav Manag. 2021; 14:675-85. DOI: 10.2147/prbm.s317641

15. Rivera K, Torres G. Salud mental en estudiantes de Odontología durante la pandemia de COVID-19. Inv Ed Méd. 2016; 5(20):230-7. DOI: 10.1016/j.riem.2016.03.001

16. Antony MM, Bieling JP, Cox BJ, Enns MW, Swinson RP. Psychometric Properties of the 42-Item and 21-Item Versions of the Depression Anxiety Stress Scales in Clinical Groups and a Community Sample. Psychological Assessment. 1998; 10(2):176-81. DOI: 10.1037/1040-3590.10.2.176

17. Villegas-Maestre JD, Pedraza-Rodríguez EM, Corrales-Reyes IE, Carranza-Esteban RF, Mamani-Benito OJ. Validity and reliability of a depression, anxiety and stress scale in Cuban dental students during the COVID-19 pandemic. SciELO Preprint. 2021 [acceso: 06/12/2021]. Disponible en: https://dx.doi.org/10.1590/SciELOPreprints.3308

18. de Medeiros RA, Leal-Vieira D, Freitas-da Silva EV, de Lucas-Rezende LV, Wendel-dos Santos R, Tabata LF. Prevalence of symptoms of temporomandibular disorders, oral behaviors, anxiety, and depression in Dentistry students during the period of social isolation due to COVID-19. J Appl Oral Sci. 2020; 28:e20200445. DOI: 10.1590/1678-7757-2020-0445

19. Hakami Z, Khanagar SB, Vishwanathaiah S, Hakami A, Bokhari AM, Jabali AH, et al. Psychological impact of the coronavirus disease 2019 (COVID-19) pandemic on dental students: A nationwide study. J Dent Educ. 2021; 85(4):494-503. DOI: 10.1002/jdd.12470

20. Obregón-Morales B, Montalván-Romero JC, Segama-Fabian E, Dámaso-Mata B, Panduro-Correa V, Arteaga-Livias K. Factores asociados a la depresión en estudiantes de medicina de una universidad peruana. Educ Méd Sup. 2020 [acceso: 20/10/2021]; 34(2):e1948. Disponible en: http://www.ems.sld.cu/index.php/ems/article/view/1881

21. Tijerina LZ, González E, Gómez M, Cisneros MA, Rodríguez KY, Ramos EG. Depresión, ansiedad y estrés en estudiantes de nuevo ingreso a la educación superior. Rev Salud Pública Nutr. 2018 [acceso: 20/10/2021]; 17(4):41-7. Disponible en: https://www.medigraphic.com/pdfs/revsalpubnut/spn-2018/spn184e.pdf

22. Ozamiz-Etxebarria N, Dosil-Santamaría M, Picaza-Gorrochategui M, Idoiaga-Mondragon N. Niveles de estrés, ansiedad y depresión en la primera fase del brote del COVID-19 en una muestra recogida en el norte de España. Cad Saúde Pública. 2020; 36(4):e00054020. DOI: 10.1590/0102-311X00054020

23. Damásio-Moutinho IL, de Castro-Pecci N, Ronald-Kleinsorge M, Lamas-Granero RA, Lucchetti-Cerrato SH, Tibiriçá-da Silva OE, et al. Depression, stress and anxiety in medical students: a cross-sectional comparison between students from different semesters. Rev Assoc Med Bras. 2017; 63(1):21-8. DOI: 10.1590/1806-9282.63.01.21

24. Cobo-Rendón R, Vega-Valenzuela A, García-Álvarez D. Consideraciones institucionales sobre la salud mental en estudiantes universitarios durante la pandemia de COVID-19. CienciAmérica. 2020; 9(2):1-8. DOI: 10.33210/ca.v9i2.322

 

 

Conflictos de intereses

Los autores no tienen conflictos de interés que declarar ni fuentes de financiación.

 

Contribuciones de los autores

Conceptualización: Ibraín Enrique Corrales-Reyes, José Daniel Villegas-Maestre.
Curación de datos: Ibraín Enrique Corrales-Reyes.
Análisis formal: Ibraín Enrique Corrales-Reyes.
Investigación: Ibraín Enrique Corrales-Reyes.
Metodología: Ibraín Enrique Corrales-Reyes.
Administración del proyecto: Ibraín Enrique Corrales-Reyes.
Validación: Ibraín Enrique Corrales-Reyes.
Visualización: Ibraín Enrique Corrales-Reyes.
Redacción - borrador original: Ibraín Enrique Corrales-Reyes, José Daniel Villegas-Maestre, Renzo Felipe Carranza-Esteban y Oscar Javier Mamani-Benito.
Redacción - revisión y edición: Ibraín Enrique Corrales-Reyes, José Daniel Villegas-Maestre, Renzo Felipe Carranza-Esteban y Oscar Javier Mamani-Benito.