Artículo de investigación

 

Volumen intracraneal según imágenes de tomografía axial computarizada, como biomarcador de envejecimiento cerebral

Intracranial volume in computed axial tomography images as a biomarker of brain aging

 

Katherine Hernández Cortés1* https://orcid.org/0000-0001-9293-9450
Nelsa María Sagaró del Campo1 https://orcid.org/0000-0002-1964-8830
Arquímedes Montoya Pedrón2 https://orcid.org/0000-0001-9415-4585

 

1Universidad de Ciencias Médicas de Santiago de Cuba. Facultad de Medicina No. 1. Santiago de Cuba, Cuba.
2Hospital General Docente "Dr. Juan Bruno Zayas Alfonso". Santiago de Cuba, Cuba.

*Autor para la correspondencia. Correo electrónico: ksusanahernandezcortes@gmail.com

 

 


RESUMEN

Introducción: La determinación de volúmenes de múltiples estructuras encefálicas es de gran importancia en el campo de las neurociencias, ya no solo con el objetivo de medir o detectar alteraciones estructurales, sino debido a la necesidad de realizar un diagnóstico precoz de enfermedades que afectan al sistema nervioso.
Objetivo: Describir las diferencias entre la volumetría encefálica absoluta y estandarizada por el volumen intracraneal, así como la elaboración de las tablas de percentiles que caracterizan esta volumetría.
Métodos: Se desarrolló un estudio descriptivo, transversal de una serie de casos en 320 sujetos, con funciones neurocognitivas y examen neuropsiquiátrico normales, en edades comprendidas entre 30 y 79 años, a los que se les realizó tomografía computarizada de cráneo simple monocorte. Se aplicó un modelo lineal general multivariado, se ponderó el volumen intracraneal para descartar la influencia en los resultados del tamaño de la cabeza de los sujetos. El procesamiento digital de las imágenes se realizó a través del empleo de un método de segmentación de imagen basado en el análisis de texturas homogéneas e interpolación.
Resultados: El grupo de edad predominante fue el de 50 - 59 años (14,1 %).Los mayores volúmenes intracraneales absolutos estuvieron presentes en los hombres, una vez realizada la corrección residual de Nordenskjöld, fueron mayores en las mujeres. Se obtuvo una alta correlación entre el volumen encefálico total y el volumen intracraneal.
Conclusiones: La ponderación de los parámetros volumétricos en función del volumen intracraneal confirma que las diferencias atribuibles al sexo no son dependientes del volumen del cráneo.

Palabras clave: biomarcadores; envejecimiento; tomografía computarizada; volumetría.


ABSTRACT

Introduction: The determination of volumes of multiple brain structures is of great importance in the field of neurosciences, not only with the objective of measuring or detecting structural alterations, but due to the need to make an early diagnosis of diseases that affect the nervous system.
Objective: To describe the differences between absolute and standardized brain volumetry by intracranial volume as well as the elaboration of percentile tables that characterize this volumetry.
Methods: A descriptive, cross-sectional study of a series of cases was developed in 320 subjects with normal neurocognitive functions and neuropsychiatric examination, aged between 30 and 79 years, who underwent single-slice simple skull computed tomography. A general multivariate linear model was applied; intracranial volume was weighted, to rule out the influence of the size of the subjects' heads on the results. The digital processing of the images was carried out through the use of use of an image segmentation method based on the analysis of homogeneous textures and interpolation.
Results: The predominant age group was 50-59 years (14.1%). The highest absolute intracranial volumes were present in men, and once Nordenskjold's residual correction was performed, they were higher in women. A high correlation was obtained between total brain volume and intracranial volume.
Conclusions: The volumetric parameters obtained are significantly correlated with intracranial volume.

Keywords: biomarkers; aging; computed tomography; volumetry.


 

 

Recibido: 13/10/2023
Aprobado: 14/12/2023

 

 

INTRODUCCIÓN

En los últimos años, en el campo de las neurociencias, se le confiere gran importancia a la determinación de volúmenes de múltiples estructuras encefálicas, ya no solo con el objetivo de medir o detectar alteraciones estructurales, sino debido a la necesidad de realizar un diagnóstico precoz de enfermedades que afectan al sistema nervioso (SN). Por esta razón, el esfuerzo se ha centrado en el desarrollo de métodos de segmentación para imágenes de tomografía axial computarizada (TAC) que permitan identificar biomarcadores en etapas preclínicas, antes que el daño cerebral irreversible se produzca.(1,2,3,4)

La combinación de marcadores y factores de riesgo desempeñan un papel fundamental en la caracterización de las enfermedades que afectan al SN; identificar estos marcadores podría ser la fase inicial para disminuir los efectos neuropatológicos y alteraciones significativas en la calidad de la vida.(5,6,7)

El volumen intracraneal y el volumen encefálico total son marcadores biológicos claves y sus cambios durante la vida pueden enseñar sobre la biología del desarrollo, el envejecimiento, y las interacciones ambientales. Los estudios morfométricos actuales, obtenidos básicamente a partir de resonancia magnética nuclear (RMN) y otras técnicas de neuroimágenes avanzadas, han sido desarrollados en poblaciones caucásicas de Norteamérica y de Europa. En Cuba, hasta la reciente aparición de la versión 3.0 del iMagis, como paquete de soluciones de un sistema de almacenamiento y transmisión de imágenes médicas, no se disponía de métodos de segmentación para estimar la volumetría encefálica en imágenes de TAC, porque, aún cuando existen algunos tipos de software para esta finalidad, todos son empleados solamente en imágenes de RMN. De igual forma, los trabajos previos que han conducido a la propuesta de tablas de valores, como es el caso de las de percentiles para las medidas normales de la volumetría encefálica en el ser humano vivo, solo enfatizan en el empleo de las curvas de percentiles obtenidas de los software que elaboraron dichas tablas.(1,2)

Debido al planteamiento expuesto se realiza esta investigación con el objetivo de describir las diferencias entre la volumetría encefálica absoluta y estandarizada por el volumen intracraneal, así como la elaboración de las tablas de percentiles que caracterizan esta volumetría.

 

 

MÉTODOS

Diseño

Estudio descriptivo, transversal de una serie de casos.

Sujetos

La serie estuvo conformada por 320 adultos, que acudieron al servicio de imagenología del Hospital "Saturnino Lora", de Santiago de Cuba, con indicación de TAC en el período de febrero de 2019 a diciembre de 2021. A todos los pacientes se les aplicó el Mini examen del estado mental (MEEM) aprobado para su empleo en la población cubana como test de cribado de las funciones cognitivas globales;(2) las puntuaciones obtenidas se encontraron en el rango de 24 a 30, es decir; funciones cognitivas dentro de límites normales. El estudio tomográfico de cráneo fue negativo a la presencia de lesiones y alteraciones estructurales antiguas o recientes.

La garantía en la calidad del diagnóstico y posible inclusión en el estudio fue avalada por un especialista de segundo grado de neurofisiología, un psicólogo y un especialista de segundo grado en psiquiatría, quienes evaluaron el estado neuropsicológico de cada paciente y descartaron la presencia de enfermedades psiquiátricas.

Para minimizar el sesgo del observador y medios de observación, el MEEM fue aplicado por la primera autora, momentos antes del estudio tomográfico. Los autores participaron en la realización de la TAC de cráneo. Siempre se empleó el mismo tomógrafo, certificado por el comité de calidad de la institución y bajo los protocolos establecidos. Las TAC realizadas fueron informadas por un solo especialista de segundo grado en imagenología. Se realizaron todas las mediciones, por la primera autora, a través del software iMagis 3.0, supervisada por su programador principal.

Se excluyeron del estudio: embarazadas, grupos con identidad de género diferente a su sexo biológico, y personas con enfermedades neurológicas y psiquiátricas diagnosticadas.

Variables

Las variables seleccionadas se expresan en milímetros cúbicos (mm3).

Variables morfométricas: las que miden la volumetría de la estructura ventricular cerebral estudiada.

Volumen intracraneal: se consideró el volumen total encefálico, los volúmenes de los ventrículos encefálicos y los espacios meníngeos subdural y subaracnoideo.(8)

Variables sociodemográficas: Sexo y edad (en años cumplidos en el momento del estudio, según el documento de identidad. Se agrupó en 5 intervalos decenales, se tuvo como límite inferior la menor edad y como límite superior la mayor: 30 - 39 años; 40 - 49 años; 50 - 59 años; 60 - 69 años y 70 - 79 años).

Procedimientos

La recolección del dato primario y las variables incluidas estuvo a cargo de la primera autora, mediante la revisión de las historias clínicas ambulatorias confeccionadas en las áreas de salud y los informes de las TAC de cráneo. Los datos fueron transcritos en un formulario creado al efecto. Para evaluar el estado mental se aplicó el MEEM.(2,3) Para obtener las imágenes de cráneo se empleó el escáner SHIMADZU (SIEMENS). El tiempo de la prueba osciló entre 50 y 60 segundos. Cada paciente recibió entre 18 y 22 cortes con un grosor de 5 milímetros.

Procesamiento digital de las imágenes

Se empleó la herramienta tecnológica iMagis certificada para su uso por el Centro Nacional de Registro de equipos médicos del Ministerio de Salud Pública de Cuba.(1)

Para las estimaciones morfométricas se realizaron los siguientes pasos: preprocesamiento, extracción de características y selección de características. Preprocesamiento, en la primera etapa se convirtió la imagen a escala de grises. En el segundo paso se eliminó el ruido existente y los artefactos, mediante la técnica de filtrado de difusión anisotrópica.(9)

Extracción de características: se realizó basada en la matriz de coocurrencia de nivel de gris (GLCM, por sus siglas en inglés). Se dividió automáticamente la imagen en K clústeres mediante la estimación de rasgos de homogeneidad obtenidos de una matriz de coocurrencias.(10,11,12)

Selección de características: se segmentó la región de interés y se combinó información de textura con el enfoque de crecimiento de regiones. Finalmente, para evaluar la precisión del enfoque propuesto, se empleó como métrica de similitud el coeficiente Dice y se logró un valor de un 95 %.(13)

Procesamiento estadístico

Se caracterizó la serie de casos según la frecuencia absoluta y relativa de las diferentes variables. Se estimaron los intervalos de confianza del 95 % de la media y la desviación estándar, a través del remuestreo en 1000 muestras, simulando un muestreo estratificado, con los grupos de edades como estratos. Se detectaron los valores atípicos mediante la prueba de Grubbs. Se decidió emplear un modelo lineal general multivariado, en el que se incluyó a la variable volumétrica como dependiente y como factores se tuvieron en cuenta el sexo y la edad, según los 5 grupos decenales definidos.

Se ponderó el volumen intracraneal para descartar la influencia en los resultados del tamaño de la cabeza de los sujetos, se aplicó una estandarización según 2 de las formas recomendadas por la literatura.

Primero, según las recomendaciones de Smith y otros(14) se dividió el volumen del encéfalo por el volumen intracraneal, ya que el volumen craneal permanece fijo durante la vida adulta y para una mejor interpretación el resultado se multiplicó por 100, quedó determinado el porcentaje de ocupación del encéfalo dentro del cráneo, lo cual se estableció para ambos sexos y grupos de edades.

Luego, según el método de corrección residual de Nordenskjöld y otros(15) se estableció una regresión lineal del volumen intracraneal sobre el encefálico para obtener el coeficiente de regresión que se aplica en la siguiente fórmula:

 

 

En el queel VETajust es el volumen encefálico ajustado según el volumen intracraneal calculado para cada individuo; VET es el volumen encefálico observado en cada individuo; β es el coeficiente de regresión; VIC es el volumen intracraneal observado en cada individuo y el VIC es el volumen intracraneal promedio de la población en estudio. Una vez obtenidos los volúmenes encefálicos ajustados, se repitió el análisis y se emplearon como variables dependientes los volúmenes ajustados.

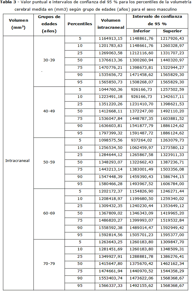
Se confeccionaron las tablas de percentiles de volumetría encefálica por grupo de edades para ambos sexos. Se estimaron los percentiles 5, 10, 25, 50, 75, 90 y 95 con sus intervalos de confianza del 95 %. Para una mayor precisión y validez de las tablas elaboradas se empleó un muestreo aleatorio estratificado con reposición del tipo bootstra.(16) Se utilizó como procesador estadístico el SPSS versión 25.0 de IBM Statistics for Windows (SPSS, Chicago, IL, USA).

Aspectos bioéticos

La inclusión y permanencia de los sujetos en el estudio se realizó bajo el principio de voluntariedad; se obtuvo el consentimiento informado por escrito de todos los participantes. Se mantuvo la confidencialidad y resguardo de los datos.

 

 

RESULTADOS

El comportamiento de las variables sociodemográficas se caracterizó por tener un 50,0 % de mujeres y hombres respectivamente; de los 160 hombres incluidos, representaron, agrupados en los rangos de edades: 30-39 (8,1 %), 40-49 (8,4 %), 50-59 (14,1 %), 60-69 (11,9 %) y 70-79 (7,5 %).

El primer método empleado para obtener el volumen encefálico estandarizado se correspondió con el volumen intracraneal. En el análisis multivariado, previamente realizado, se observó el efecto de la interacción entre sexo y edad por lo que se realizó el análisis con ambas variables a la vez.

La tabla 1 muestra el porcentaje de ocupación del encéfalo en el interior de la cavidad craneal (volumen intracraneal) según grupos de edades y sexo, con los estadísticos que lo describen. Cuando se analizan en conjunto sexo y edad coincide el valor relativo estandarizado de este volumen, con el valor absoluto, en cuanto a las diferencias significativas en el volumen encefálico por edad y sexo.

El análisis según el método de corrección residual de Nordenskjöld reveló, igualmente, diferencias entre sexos y grupos de edades, en este caso, muy significativas (p< 0,001), pero con mayores valores volumétricos a favor de las mujeres (tabla 2).

En la tabla 3 y la tabla 4 se muestra en qué percentil se encuentra un determinado individuo con funciones cognitivas, dentro de límites normales según el volumen medido, su edad y sexo. Esta consulta se puede realizar con una confianza del 95 % para el porcentaje del cráneo ocupado por el encéfalo como volumen encefálico estandarizado.

 

 

DISCUSIÓN

La correlación significativa entre el volumen encefálico total y el volumen intracraneal era esperada por la lógica anatómica de que el encéfalo, al estar contenido en el interior de la bóveda craneal, tendría relaciones directas con el receptáculo que lo contiene.

El volumen intracraneal y el volumen encefálico total son marcadores biológicos que son empleados con mucha frecuencia en las investigaciones llevadas a cabo en el campo de las neurociencias, con la finalidad de compensar las variaciones entre los sujetos en las mediciones del tamaño del cráneo. Es un indicador atractivo de la reserva cerebral porque representa un límite absoluto en la capacidad volumétrica del cerebro individual. Sin embargo, no están exentos de limitaciones, tales como, el grado de plegamiento cortical y las frecuentes variaciones del volumen encefálico total con respecto al volumen intracraneal.(15)

Van Loenhoud y otros(17) apoyan la hipótesis de que un cerebro de mayor tamaño podría proteger contra la expresión clínica de la enfermedad "a través del mecanismo de reserva cerebral".

En un estudio longitudinal realizado por Caspi y otros(18) determinan que el volumen intracraneal tiene una tasa de aumento de 0,3 %/año, después de los 20 años, que evoluciona a una tasa de reducción del 0,9 %/año a la edad de 55 años. Estos cambios, se corresponden con la década en que la materia blanca en el cerebro comienza a reducirse, aparece el engrosamiento de las meninges y los huesos del cráneo, así como una menor cantidad de líquido cerebral y pérdida total de tejido cerebral.

Con relación a la asociación entre la disminución del volumen intracraneal y la reducción de la sustancia gris se correlacionan con el rendimiento cognitivo en adultos jóvenes y mayores. MacLullich y otros,(19) al estudiar a 97 ancianos del sexo masculino, demostraron la existencia de relaciones significativas entre múltiples pruebas cognitivas y la capacidad intracraneal, como los volúmenes cerebrales regionales.

En un estudio de Klasson y otros(20) encontraron una correlación parcial significativa entre la estimación del volumen intracraneal y el volumen cerebral total, al controlar el volumen intracraneal fue de 0,355 (p= 0,026), para un intervalo de confianza del 95 %. Este hallazgo fue interpretado como que el volumen intracraneal estimado está sesgado por el volumen total del cerebro. Postula la idea de que, si se hiciera una alineación perfecta de los tejidos cerebrales, la estimación del volumen intracraneal se volvería proporcional al volumen encefálico total de las imágenes de RMN y, por lo tanto, dependería de la atrofia cerebral.

Bigler y otros,(21) usaron un gran conjunto de datos de imágenes RMN (n= 532), evidenciaron que en casos de demencia y trastorno neuropsiquiátrico en personas de 65 años o más, el volumen cerebral total corregido por volumen intracraneal diferenció fácilmente a esta población clínica de los controles.

Algo semejante ocurrió con la investigación de Farokhian y otros,(22) con respecto al volumen intracraneal, el efecto principal de la edad mostró una diferencia significativa entre los sujetos jóvenes (media de 1548,0 cm³, desviación estándar (DS) de 142,19) y los sujetos mayores (media= 1512,40 cm³, DS= 149,93). El efecto del sexo tuvo una diferencia significativa en volumen intracraneal entre la mujer (media= 1449,80 cm³, DS= 119,08) y los sujetos masculinos (media= 613,90 cm³, DS= 124,77). Estos resultados son consistentes con los alcanzados en este estudio.

En estas comparaciones directas entre los sujetos por sexo y edad (mujeres jóvenes con edades promedio de 27 años versus mujeres mayores con edades de 69 años) y los sujetos del sexo masculino (jóvenes versus adultos mayores), no hubo diferencias significativas en el promedio de los valores de volumen intracraneal.(22)

Con todo lo anterior planteado, se puede afirmar que, debido al amplio uso del volumen intracraneal para la normalización del tamaño de la cabeza, cuando se realizan investigaciones según el sexo, para determinar los signos de atrofia encefálica, en el curso del envejecimiento normal y patológico son recomendables las medidas de volúmenes encefálicos corregidos para obtener los indicadores globales de atrofia encefálica en relación con la función cognitiva.(23)

Como limitación de esta investigación es su diseño transversal.

La ponderación de los parámetros volumétricos en función del volumen intracraneal confirma que las diferencias atribuibles al sexo no son dependientes del volumen del cráneo.

Las tablas de percentiles elaboradas introduce en la clínica una herramienta para la discriminación con precisión de la normalidad del volumen intracraneal en sujetos con funciones cognitivas globales normales.

 

 

REFERENCIAS BIBLIOGRÁFICAS

1. Mesa Pujals AA, Hernández Cortés KS, Montoya Pedrón A, Bolaños Vaillant S, Álvarez Guerra ED. Análisis de texturas homogéneas para la estimación volumétrica de la materia cerebral por tomografía computarizada. RCIM. 2022 [acceso: 09/09/2023]; 14(1): [aprox. 14 p.]. Disponible en: http://scielo.sld.cu/pdf/rcim/v14n1/1684-1859-rcim-14-01-e512.pdf

2. Valdés Sosa PA, Galán García L, Bosch Bayard J, Bringas Vega ML, Aubert Vázquez E, Rodríguez Gil I, et al. The Cuban Human Brain Mapping Project, a young and middle age population-based EEG, MRI, and cognition dataset. Sci data. 2021; 8(1):45. DOI: 10.1038/s41597-021-00829-7

3. Hernández- Cortés Katherine S, Mesa- Pujals Adrián A, García- Gómez Odalis, Montoya Pedrón A. Brain morphometry in adult: volumetric visualization as a tool in image processing. Rev Mex Neurocienc. 2021; 22(3):101-11. DOI: 10.24875/rmn.20000074

4. Spalletta G, Piras F, Gili T. Brain Morphometry, Neuromethods. En: Hiroshi M. Morphometry in Normal Aging. New Jersey: Human Press; 2018. p. 165-70. DOI: 10.1007/978-1-4939-7647-8

5. Bonilla Santos J, Zea Romero EY, Cala Martínez DY, González Hernández A. Marcadores cognitivos, Biológicos, Anatómicos y Conductuales del Deterioro Cognitivo Leve y la Enfermedad de Alzheimer. Una revisión sistemática. Rev Ecuat Neurol. 2021; 30(2):57-67. DOI: 10.46997/revecuatneurol30200057

6. Harris SE, Cox S R, Bell S, Marioni RE, Prins BP, Pattie A, et al. Neurology-related protein biomarkers are associated with cognitive ability and brain volume in older age. Nature Communications. 2020; 11:800. DOI: 10.1038/s41467-019-14161-7

7. Ballarini T, van Lent D M, Brunner J, Schröder A, Wolfsgruber S, Altenstein S, et al. Mediterranean diet, Alzheimer disease biomarkers, and brain atrophy in old age. Neurology.2021; 96(24):e2920-e2932. DOI: 10.1212/WNL.0000000000012067

8. Rouviere H, Delmas A. Anatomía Humana Descriptiva, Topográfica y Funcional. 11.ª ed. Francia: Masson; 2005.

9. Mohanty A, Mahapatra S, Bhanja U. Traffic congestion detection in a city using clustering techniques in VANETs. Indones. J Electr Eng Comput Sci. 2019; 13(2):884-91. DOI: 10.11591/ijeecs.v13.i3.pp884-891 10

10. Heurtier A. Texture feature extraction methods: A survey. IEEE Access. 2019; 7:8975-9000. DOI: 10.1109/ACCESS.2018.2890743

11. Baecker L, Dafflon J, Da Costa PF, García‐Días R, Vieira S, Scarpazza C, et al. Brain age prediction: A comparison between machine learning models using region‐and voxel‐based morphometric data. Hum Brain Mapp. 2021; 42(8):2332-46. DOI: 10.1002/hbm.25368

12. Soltanian Zadeh H, Windham JP. A multiresolution approach for contour extraction from brain images. J Med Phys. 1997; 24(12):1844-53. DOI: 10.1118/1.598099

13. Kollem S, Reddy KR, Rao DS. A review of image denoising and segmentation methods based on medical images. Int J Mach Learn Comput. 2019; 9(3):288-95. DOI: 10.18178/ijmlc.2019.9.3.800.

14. Smith SM, Zhang Y, Jenkinson M, Chen J, Matthews PM, Federico A, et al. Accurate, robust, and automated longitudinal and cross-sectional brain change analysis. Neuroimage. 2002; 17(1):479-89. DOI:10.1006/nimg.2002.1040

15. Nordenskjöld R, Malmberg F, Larsson EM, Simmons A, Ahlström H, Johansson L, et al. Intracranial volume normalization methods: considerations when investigating gender differences in regional brain volume. Psychiatry Research: Neuroimaging. 2015; 231(3):227-35. DOI: 10.1016/j.pscychresns.2014.11.011

16. Totty N, Molyneux J, Fuentes C. The Importance of Discussing Assumptions when Teaching Bootstrapping. arXiv [preprint]. 2021. DOI:10.48550/arXiv.2112.07737

17. Van Loenhoud AC, Groot C, Vogel JW, Van Der Flier WM, Ossenkoppele RR. Is intracraneal volume a suitable proxy for brain reserve? Alzheimer´s research & therapy. 2018; 10(1):1-12. DOI:10.1186/s13195-018-0408-5

18. Caspi Y, Brouwer RM, Schnack HG, van de Nieuwenhuijzen ME, Cahn W, Kahn RS, et al. Changes in the intracranial volume from early adulthood to the sixth decade of life: A longitudinal study. NeuroImage. 2020; 220:116842. DOI: 10.1186/s13195-018-0408-5

19. MacLullich AMJ, Ferguson KJ, Deary IJ, Seckl JR, Starr JM, Wardlaw JM. Intracranial capacity and brain volumes are associated with cognition in healthy elderly men. Neurology. 2002; 59(2):169-74. DOI: 10.1212/wnl.59.2.169

20. Klasson N, Olsson E, Eckerstrom C, Malmgren H, Wallin A. Estimated intracraneal volume from Free Surfer is biased by total brain volume. European Radiology Experimental. 2018; 2(1):1-6. DOI: 10.1186/s41747-018-0055-4

21. Bigler ED, Tate DF. Brain volume, intracranial volume, and dementia. Investigative radiology.2001; 36(9): 539-546. DOI: 10.1097/00004424-200109000-00006

22. Farokhian F, Yang C, Beheshti I, Matsuda H, Wu S. Age-related gray and white matter changes in normal adult brains. Aging and disease. 2017; 8(6):899. DOI: 10.1097/00004424-200109000-00006

23. Klein M, Walters RK, Demontis D, Stein JL, Hibar DP, Adams HH, et al. Genetic markers of ADHD-related variations in intracranial volume. American Journal of Psychiatry. 2019; 176(3):228-38. DOI: 10.1176/appi.ajp.2018.18020149

 

 

Conflictos de interés

Los autores declaran no tener ningún conflicto de interés. No recibieron financiación para la realización de este trabajo.

 

Contribuciones de los autores

Conceptualización: Katherine Susana Hernández Cortés, Arquímedes Montoya Pedrón.
Análisis formal: Katherine Susana Hernández Cortés, Arquímedes Montoya Pedrón, Nelsa Sagaró del Campo.
Investigación: Katherine Susana Hernández Cortés, Arquímedes Montoya Pedrón, Nelsa Sagaró del Campo.
Metodología: Katherine Susana Hernández Cortés, Arquímedes Montoya Pedrón, Nelsa Sagaró del Campo.
Administración del proyecto: Katherine Susana Hernández Cortés.
Supervisión: Arquímedes Montoya Pedrón, Nelsa Sagaró del Campo.
Redacción- borrador original: Katherine Susana Hernández Cortés.
Redacción- revisión y edición: Katherine Susana Hernández Cortés, Arquímedes Montoya Pedrón, Nelsa Sagaró del Campo.