Artículo de investigación

 

Análisis de red de la comorbilidad entre síntomas de ansiedad e insomnio en adultos

Network analysis of comorbidity between anxiety symptoms and insomnia in adults

 

Jonatan Baños-Chaparro1* https://orcid.org/0000-0002-2604-7822
Fernando Lamas Delgado2 https://orcid.org/0000-0001-6025-8415
Paul Ynquillay-Lima3 https://orcid.org/0000-0002-8101-3932
Dante Jesus Jacobi-Romero4 https://orcid.org/0000-0002-3062-328X
Fiorella Gaby Fuster Guillen4 https://orcid.org/0000-0003-3756-1541

 

1Sociedad Peruana de Psicometría. Área de Investigación. Lima, Perú.
2Universidad Ricardo Palma. Escuela de Posgrado. Lima, Perú.
3Institución Educativa José Olaya Quellouno. Departamento de Psicología. Cusco, Perú.
4Universidad César Vallejo. Facultad de Ciencias de la Salud. Lima, Perú.

*Autor para la correspondencia. Correo electrónico: banos.jhc@gmail.com

 

 


RESUMEN

Introducción: La comorbilidad entre los síntomas de ansiedad e insomnio es frecuente y a menudo se entiende porque los síntomas comparten una causa común. La teoría de redes conceptualiza las alteraciones emocionales a nivel de síntomas y es una alternativa contemporánea para comprender la comorbilidad psicopatológica.
Objetivo: Explorar la comorbilidad entre los síntomas de ansiedad e insomnio en adultos peruanos.
Métodos: La muestra estuvo conformada por 567 adultos (75,1 % mujeres) que respondieron autoinformes de ansiedad e insomnio. Se estimó una red gráfica gaussiana con medidas de centralidad, predictibilidad, estabilidad, precisión y comparación. Para identificar los síntomas que impulsaban la comorbilidad, se analizaron los síntomas puente en la estructura de red.
Resultados: Todas las conexiones en la red fueron positivas. Se identificó que los problemas para relajarse y la calidad general del sueño eran los síntomas puente entre la ansiedad y el insomnio. Las puntuaciones más altas en centralidad y predictibilidad para la ansiedad fueron los problemas para relajarse y preocupación, mientas que para el insomnio fue la calidad general del sueño y su duración. La red fue robusta y estable (CS = 0,672).
Conclusiones: Los problemas para relajarse y la calidad general del sueño se identificaron como síntomas puente entre la ansiedad y el insomnio. Se necesitan más investigaciones para comprobar si la intervención en aquellos síntomas podría disminuir la comorbilidad entre ambos problemas.

Palabra clave: comorbilidad; ansiedad; insomnio; salud mental; adulto.


ABSTRACT

Introduction: Comorbidity between anxiety and insomnia symptoms is frequent and often it is understood because the symptoms share a common cause. Network theory conceptualizes emotional disorders at symptoms level and is a contemporary alternative for comprehend ​psychopathological comorbidity.
Objective: To explore the comorbidity between anxiety and insomnia symptoms in Peruvian adults.
Methods: The sample was made up of 567 adults (75,1 % women) who responded to self-reports of anxiety and insomnia. A Gaussian graphical network was estimated with measures of centrality, predictability, stability, precision and comparative. To identify symptoms driving comorbidity, bridge symptoms were analyzed in the network structure.
Results: All network connections were positive. Trouble relaxing and general sleep quality were identified as the bridge symptoms between anxiety and insomnia. The highest centrality and predictability scores for anxiety were trouble relaxing and worrying, while for insomnia it was overall sleep quality and sleep duration. The network was robust and stable (CS = 0,672).
Conclusions: Trouble relaxing and overall sleep quality were identified as bridge symptoms between anxiety and insomnia. Further research is needed to test whether intervention in those symptoms could decrease comorbidity between both emotional disorders.

Keywords: comorbidity; anxiety; insomnia; mental health; adult.


 

 

Recibido: 10/02/2022
Aprobado: 25/04/2022

 

 

INTRODUCCIÓN

La ansiedad es una alteración emocional frecuente en adultos de la población general, que afecta la salud física y mental. La presencia de ansiedad a menudo es comórbida con enfermedades crónicas, trastornos del estado de ánimo, consumo de alcohol y otras sustancias (tabaco, cannabis, alucinógenos), así como también el insomnio.(1,2) El insomnio se define como la duración, el inicio o la consolidación inadecuada del sueño, que provoca insatisfacción y deterioro diurno.(3) La evidencia empírica señala que los síntomas de ansiedad e insomnio coexisten frecuentemente. De hecho, los síntomas de ansiedad predicen prospectivamente los síntomas de insomnio y la comorbilidad de estas condiciones a veces puede conducir a una sintomatología más resistente al tratamiento clínico.(4)

A pesar de que la literatura científica documenta su comorbilidad, se sabe poco acerca de cómo se mantiene o qué interrelaciones a nivel de síntomas desempeñan un papel importante. Una forma de responder a esta pregunta es mediante el análisis de redes, los cuales han sido utilizados en los últimos años para estudiar la psicopatología en los campos de la psiquiatría y la psicología clínica.(5,6,7) Al respecto, los modelos de redes conceptualizan las alteraciones emocionales como una red compleja de interacciones causales entre síntomas, que se refuerzan simultáneamente y proporciona una manera útil para comprender la psicopatología, incluida la comorbilidad.(8) Desde esta perspectiva, la comorbilidad surge cuando existen síntomas que unen dos alteraciones emocionales. Estos se denominan "síntomas puente", porque conectan con diferentes grupos de síntomas (alteraciones emocionales) que pueden propagar la activación de una alteración emocional a otro.(9) Por ejemplo, una estructura de red de síntomas de ansiedad y depresión, encontró que la fatiga, el estado de ánimo deprimido y la anhedonia actuaban potencialmente como síntomas puente entre ambos trastornos.(10)

Aunque pocos estudios han examinado los síntomas de insomnio desde el enfoque de redes, existe evidencia que los síntomas individuales como la dificultad para dormir, alteración del sueño o insatisfacción general, que presentan otros problemas emocionales como la depresión, comparten fuertes relaciones con los síntomas de ansiedad. Una reciente investigación(11) realizada en la población general de Qatar, evidenció en una estructura de red psicopatológica, que los problemas para relajarse se asociaron con la dificultad para dormir, preocupaciones, irritabilidad y disminución de la concentración. Otro estudio(12) en EE.UU. reporta correlaciones fuertes de los problemas para relajarse con el nerviosismo y calidad de sueño. En Inglaterra(13) se identificó que los problemas para relajarse mantuvieron relaciones con la falta de energía y problemas para conciliar el sueño. Mientras que, desde el análisis frecuentista, los problemas para relajarse se presentan mayormente en personas con alteraciones del sueño en comparación con quienes no manifiestan ninguna alteración.(14)

La comorbilidad de problemas emocionales es un fenómeno común y cada vez más frecuente en adultos de la población general.(15) Las personas que presentan comorbilidades son un gran desafío para los profesionales de la salud con respecto a qué síntomas dirigirse primero. El análisis de redes puede proporcionar una idea de cómo estos diferentes síntomas se relacionan entre sí y cuáles son los síntomas más centrales o síntomas puente, que pueden causar mayor psicopatología.

El objetivo de este estudio es explorar la comorbilidad entre los síntomas de ansiedad e insomnio en adultos peruanos de población general. Además, se propone identificar los síntomas centrales de la estructura de red psicopatológica y las diferencias, precisión, estabilidad y comparación de la red.

 

 

MÉTODOS

El diseño de investigación cuantitativo, de corte transversal, realizado durante el mes de octubre del 2021 en Lima Metropolitana. En el estudio participaron 567 adultos peruanos, seleccionados mediante muestreo por conveniencia. Se consideró los siguientes criterios de inclusión: a) edad entre 18 a 60 años, b) lugar de residencia en Lima Metropolitana y c) aceptación voluntaria del consentimiento informado.

De los adultos estudiados 426 eran mujeres (75,1 %) y 141 hombres (24,9 %). El promedio de edad fue de 29 años con una desviación estándar de 10,2. Igualmente, la mayoría se encontraba en la condición de estado civil soltero (80,6 %) y casados (15,3 %), aunque algunos mencionaron encontrarse divorciados (4,1 %). Respecto al nivel académico, el 72 % tenía estudios universitarios, 16,9 % estudios técnicos, 10,9 % estudios de secundaria y 0,2 % estudios de primaria. En relación a la situación laboral, el 53,6 % manifestó que tenía un trabajo, mientras que el 46,4 % informó que se encontraba desempleado.

Para evaluar la ansiedad, se utilizó la Escala de Ansiedad Generalizada-7 (EAG-7). Es un cuestionario que evalúa la gravedad de los síntomas de ansiedad generalizada durante las últimas 2 semanas mediante 7 ítems y presenta 4 opciones de respuesta. La puntuación total varía entre 0 a 21, y puntuaciones altas indican mayores síntomas de ansiedad. El EAG-7 ha sido analizado psicométricamente en la población peruana.(16) En este estudio se obtuvo una aceptable confiabilidad (ω = 0,91).

Los síntomas de insomnio se evaluaron con la Escala de Insomnio de Atenas (EIA). El EIA está conformado por 5 ítems que evalúa los síntomas de insomnio durante el último mes con una frecuencia de 3 veces cada semana. Presenta evidencias psicométricas en adultos peruanos y el sistema de respuesta es de tipo Likert. El rango de puntuación general se ubica entre 0 a 15 puntos y puntuaciones altas indican mayores problemas de insomnio.(17) En este estudio se obtuvo una aceptable confiabilidad (ω = 0,83).

La recolección de información se realizó online mediante un formulario de Google, debido que aún en el Perú se mantiene el estado de emergencia y las medidas de prevención por la pandemia. El enlace del formulario fue compartido en las redes sociales (Facebook y WhatsApp) de cada autor durante el mes de octubre del 2021. En la descripción del formulario se indicaba el objetivo de la investigación, la utilidad de la información para fines académicos y el anonimato de sus respuestas. Asimismo, al final de tal descripción se les preguntaba si deseaban participar voluntariamente en el estudio brindando su consentimiento.

La investigación respetó los lineamientos de la declaración de Helsinki y el código de ética del Colegio de Psicólogos del Perú (CPP), indicado en el artículo número 27 del capítulo III dedicado a las buenas prácticas en investigación.(18)

Los análisis estadísticos se realizaron por etapas, utilizando el software libre Rstudio con los paquetes bootnet, mgm, qgraph, psych, MBESS, networktools, NetworkComparisonTest, cowplot y summarytools. Inicialmente, se realizaron análisis descriptivos de las variables demográficas, medidas de tendencia central, dispersión de cada ítem y confiabilidad de cada instrumento mediante el coeficiente omega (ω). Posteriormente, previo al análisis de red, se evaluó si los nodos eran conceptualmente redundantes (solapamiento topológico). Se seleccionó los pares de nodos que comparten un solapamiento topológico superior al 25 % con un valor p de 0,05 para determinar la significación estadística.(19) La detección de comunidades se realizó utilizando el algoritmo Walktrap. Posteriormente, se estimó la estructura de red en tres etapas, las cuales se mencionan en los siguientes párrafos.

En la primera etapa, se estimó un modelo gráfico gaussiano (MGG) con 10 nodos, en las cuales 5 evalúan los síntomas de ansiedad y los otros 5 miden síntomas de insomnio. El modelo se basa en una estructura de red no dirigida, ponderada y correlaciones parciales regularizadas. Para controlar el riesgo de aristas espurias, se utilizó el operador de selección y contracción mínima absoluta (LASSO) con un parámetro de ajuste recomendado de γ = 0,50 y correlación de Spearman.(20) Asimismo, se seleccionaron los síntomas puente de acuerdo a un límite de resistencia con percentil > 0,80.(21) Para visualizar la red se utilizó el algoritmo de Fruchterman-Reingold, con el cual las aristas positivas están representadas por líneas negras, mientras que las negativas son líneas rojas. Las aristas más gruesas y saturadas reflejan correlaciones más fuertes.

En la segunda etapa, se estimó la centralidad de los síntomas mediante el índice de influencia esperada y la predictibilidad; este último proporciona la varianza explicada (R2) que tiene cada nodo con el resto de los nodos de la red.(20,22) En el gráfico de red, la predictibilidad se visualiza como el área o círculo de color negro alrededor de cada nodo .

Por último, en la tercera etapa, se examinó la precisión, estabilidad y comparación de la estructura de red. En primer orden, se utilizó el método de bootstrapping basado en 1 000 muestras para calcular los intervalos de confianza (IC) del 95 % de la precisión de las aristas de la red. En segundo orden, se analizó la estabilidad de la medida de centralidad de influencia esperada, mediante un subconjunto de bootstrap, en el cual se examina si los nodos centrales de la muestra original se mantienen, aun descartando un porcentaje de participantes aleatorios. En relación con esto, el coeficiente de estabilidad de correlación (CS), indica qué proporción de participantes se puede eliminar para retener, con un 95 % de probabilidad, una correlación de al menos 0,70 entre el orden de centralidad del subconjunto bootstrap con el orden original de centralidad en el conjunto de datos. El CS no debe ser menor de 0,25 y preferiblemente superior a 0,50.(20)

En tercer orden, se realizó pruebas de diferencias para los pesos de las aristas y medida de centralidad. Se utilizó el método bootstrapping no paramétrico para determinar si las aristas y la influencia esperada diferían significativamente entre sí. En cuarto orden, se realizó un análisis comparativo de redes no paramétrico según condición laboral (trabajadores y desempleados) en base a la invarianza de la estructura de red (diferencias en las conexiones de las aristas entre las dos redes) mediante el estadístico M, y la invarianza de fuerza global (suma de los pesos absolutos de las aristas entre las dos redes) mediante el estadístico S. La prueba de comparación de redes se basó en 1 000 permutaciones aleatorias.(8)

 

 

RESULTADOS

Estimación de la red de síntomas de ansiedad e insomnio

En la tabla 1 se evidencia que la media aritmética se encuentra en el rango de 0,64 y 0,95 mientras que la desviación estándar entre 0,73 y 0,86. En el análisis de solapamiento topológico, se evidenció redundancia entre los nodos del EAG-7. Se combinaron los ítems 2 y 3 (preocupación incontrolable - preocupación excesiva), denominado en lo sucesivo como "preocupación". También los ítems 5 y 6 (inquietud - irritabilidad), denominado posteriormente como "irritabilidad". En relación al índice de centralidad, los síntomas más centrales de la ansiedad fueron los problemas para relajarse y preocupación, mientras que para el insomnio fueron la calidad general y duración del sueño. El promedio de predictibilidad fue de 50,4 %, en el cual los síntomas con mayor predictibilidad fueron los siguientes: problemas para relajarse (62,7 %), preocupación (58,1 %), calidad general del sueño (56,6 %) y duración del sueño (56,1 %).

 

 

El modelo de red se presenta en la figura 1 (Ver en alta definición). El algoritmo de Walktrap indicó una solución óptima de 2 comunidades basadas en síntomas de ansiedad e insomnio. Se evidencia que todas las correlaciones de los nodos fueron positivas; las correlaciones más fuertes fueron entre duración y calidad general del sueño (r = 0,51), despertares diurnos y nocturnos (r = 0,32), irritabilidad con problemas para relajarse (r = 0,28) y preocupación (r = 0,27), nerviosismo y preocupación (r = 0,26). Con relación a los síntomas puente, los problemas para relajarse y la calidad general del sueño fueron los síntomas que unieron ambos problemas.

 

 

Precisión del modelo de red y estabilidad de la centralidad

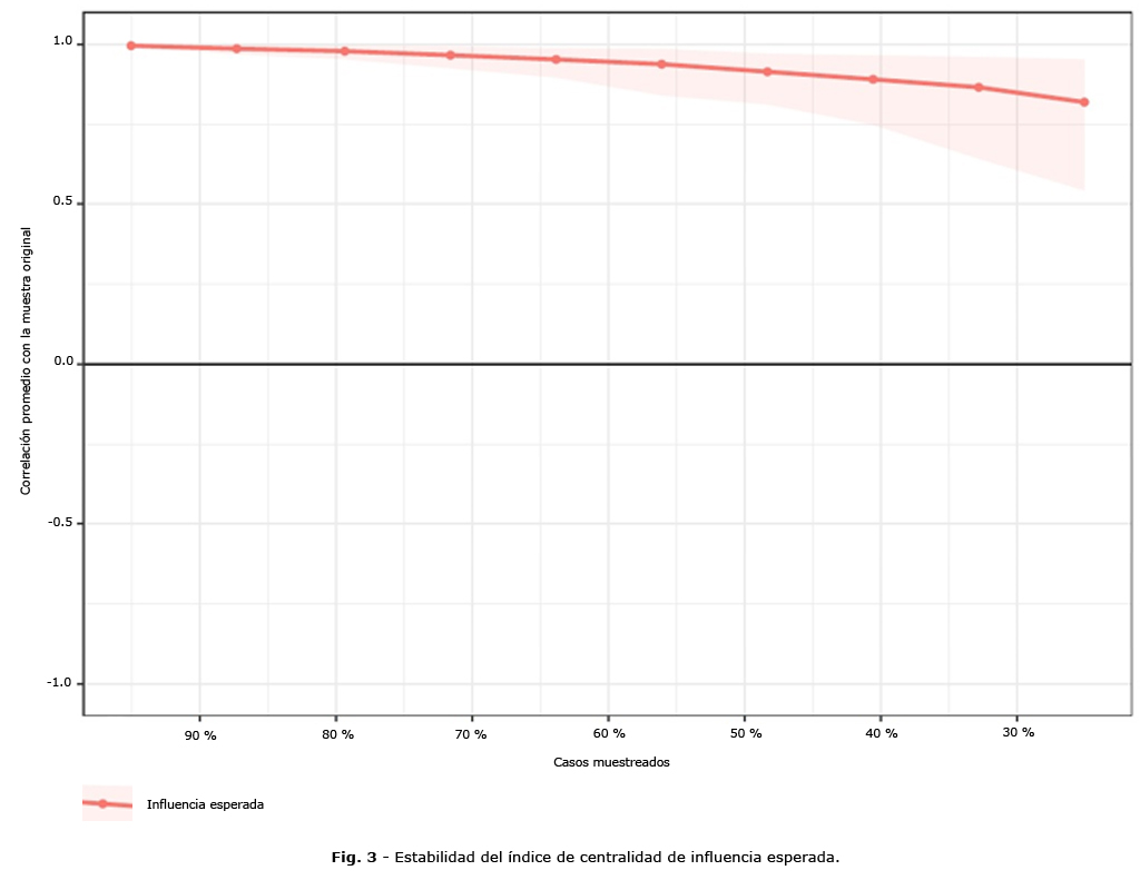
En general, los IC bootstrap para las aristas fueron estrechos y en su mayoría, no estaban superpuestos, lo que indica resultados confiables (Fig. 2 - Ver en alta definición). Además, la estimación de centralidad de influencia esperada fue estable, con un coeficiente CS = 0,672. Esto sugiere que el 67,2 % de los datos podrían eliminarse para conservar un 95 % de certeza y una correlación de 0,70 con el conjunto de datos original (Fig. 3 - Ver en alta definición).

 

 

 

Estimación de diferencias de la influencia esperada de los nodos y pesos de las aristas

La figura 4 (Ver en alta definición) muestra las diferencias bootstrap para la influencia esperada (sección A), los cuadros grises representan diferencias no significativas, los cuadros negros son diferencias significativas y los cuadros blancos indican los valores de influencia esperada. En ese sentido, se evidencia que los problemas para relajarse (GAD4) fue significativamente más central que la mayoría de los otros nodos, seguido de la preocupación (GAD2_3) y calidad general del sueño (EIA5). Asimismo, en las diferencias de las aristas (sección B), los pesos de las aristas entre EIA4 - EIA5 fueron significativamente diferentes entre todas las aristas, seguido de EIA2 - EIA3 y GAD4 - GAD5_6.

 

 

Análisis comparativo de redes

En la figura 5 (Ver en alta definición) se reportan las características globales entre la red de trabajadores (n = 304) y desempleados (n = 263). La prueba de invarianza basada en su estructura indicó que no eran significativamente diferentes (M = 0,165, p = 0,679), aunque a nivel global de conectividad sí hubo diferencias estadísticamente significativas (S = 0,293, p = 0,03). Por ejemplo, los síntomas centrales en la red de trabajadores fueron los problemas para relajarse y la calidad general de sueño. Mientras que en la red de desempleados, los síntomas centrales fueron los problemas para relajarse, preocupación e irritabilidad.

 

 

 

DISCUSIÓN

La contribución de los resultados permite ampliar la literatura sobre la comorbilidad entre ambos problemas y proporciona evidencia empírica a nivel de síntomas sobre como la ansiedad y el insomnio se relacionan. Desde la perspectiva de red, se identificó una estructura de red psicopatológica con asociaciones positivas entre los síntomas pertenecientes a cada alteración emocional y entre ambos problemas. La comorbilidad se explicó mediante dos síntomas puente y los valores más altos de centralidad se ubicaron en los síntomas de ansiedad. La estructura de red fue robusta en cuanto a la precisión y estabilidad mediante el método bootstrap. En el análisis comparativo según condición laboral, no se logró encontrar diferencias significativas en la estructura, aunque sí en la fuerza global. A continuación, se discuten los hallazgos del estudio.

En principio, en la estructura de red se observó que los síntomas de cada alteración emocional permanecieron dentro de sus respectivos grupos, mientras compartían relaciones con otros síntomas diferentes; por ejemplo, los problemas para relajarse y el nerviosismo (ansiedad) se asociaron con el síntoma de inducción del sueño (insomnio), lo que concuerda con la literatura sobre su comorbilidad psicopatológica y la utilidad del análisis de redes en analizar las interacciones a nivel de síntomas entre dos problemas de salud mental.(1,4,8) Es mayor cuando se exploró las medidas de centralidad y predictibilidad en la estructura de red; los 3 síntomas con mayor puntuación y porcentaje fueron los problemas para relajarse, preocupación y calidad general del sueño.

Los síntomas centrales y predictibilidad son aquellos que mantienen más conexiones con otros síntomas de la red. Desde una perspectiva clínica, estos síntomas contribuyen en cada condición de la alteración emocional y dado que presentan una alta predicción, se pueden constituir en objetivos primordiales para la intervención terapéutica.(9) Asimismo, el promedio de predictibilidad fue de 50,4 %, lo que sugiere que la mayor parte de la varianza explicada por los síntomas de ansiedad e insomnio podría explicarse por esta estructura de red. El porcentaje restante (49,6 %) podría atribuirse a otros síntomas relacionados con ambos problemas, como los depresivos, consumo de alcohol y otras sustancias, enfermedades crónicas, entre otros.(1,2)

Por último, no se observó diferencias en la estructura, pero sí en la fuerza global de las redes según condición laboral. Los problemas para relajarse en ambas redes fue un síntoma central, pero en el modelo de red subyacente de desempleados, la preocupación e irritabilidad (síntomas de ansiedad) tuvieron mayores valores. Esto concuerda con la literatura, la cual indica que los adultos desempleados experimentan diversos problemas de salud mental, entre ellos la ansiedad.(23) Esto es debido a las responsabilidades económicas, familiares y sociales que deben de afrontar, por lo que es lógico que este grupo esté más fuertemente conectado a nivel de síntomas a comparación de los adultos con estabilidad laboral.

En relación con los síntomas puente, la comorbilidad se explicó a través de los problemas para relajarse y la calidad general del sueño. Este hallazgo sugiere que existe una vía de conexión entre los síntomas de ansiedad e insomnio. Los resultados concuerdan con la evidencia empírica que demuestra que los problemas para relajarse se presentan mayormente en personas con alteraciones de sueño y que el conjunto de síntomas de ansiedad son un factor de riesgo del insomnio.(4,14) Varios estudios(11,12,13) de análisis de redes transversales en adultos de la población general han identificado que los problemas para relajarse se han asociado con la calidad general del sueño. Dado que la ansiedad se caracteriza como una constante preocupación en el individuo por una determinada situación, que genera malestar y afecta el funcionamiento físico y psicológico, resulta coherente que los problemas para relajarse puedan conducir a síntomas de insomnio y viceversa.

Teóricamente, puede ser que, al tener problemas para relajarse, se presente la dificultad para iniciar o mantener el sueño y provoca mala calidad o insatisfacción, lo que puede dar lugar a síntomas de insomnio. Estos hallazgos también resaltan que las intervenciones terapéuticas, como la terapia cognitivo conductual, mediante técnicas de relajación dirigidas a los problemas para relajarse o control de estímulos para mejorar la calidad general del sueño, pueden interrumpir o debilitar las asociaciones entre los síntomas de ansiedad e insomnio.(24)

La evidencia refiere que la comorbilidad psicopatológica está asociada a una disminución de la calidad de vida, mayor discapacidad y uso frecuente de los servicios de salud, que involucran consecuencias económicas para el usuario.(15) La comorbilidad es un fenómeno complejo y frecuente que se mantiene no solo a nivel de un atributo latente, sino también a nivel de síntomas.(8) Las implicaciones del estudio proporcionan un antecedentes más de cómo el análisis de redes puede ser utilizado para explorar la psicopatología e identificar síntomas centrales o puente. La comorbilidad entre la ansiedad e insomnio destaca la importancia de estrategias terapéuticas basadas en evidencia, para abordar su tratamiento y enfocar la intervención en ambos problemas, en lugar de enfocarlos individualmente. Además, los resultados del estudio podrían ayudar a los psiquiatras y psicólogos clínicos en la toma de decisiones sobre los síntomas que deberían evaluarse en campañas comunitarias de prevención psicológica en la población general y charlas de psicoeducación sobre los síntomas individuales de ansiedad e insomnio, enfatizando en cómo los problemas para relajarse y la calidad general del sueño pueden desempeñar un rol importante en la salud mental.

El estudio presenta las siguientes limitaciones: primero, la recolección de datos fue por internet mediante un cuestionario en línea y respondido en entornos de redes sociales. Esto no puede ser representativo de toda la población general, dado que algunos adultos no utilizan redes sociales y otros no prefieren participar en encuestas virtuales. Segundo, cada participante respondió una sola vez el cuestionario y no se solicitó una segunda respuesta después de un determinado tiempo. Por tanto, los datos corresponden a una información transversal y los resultados deben interpretarse bajo esta condición. Se necesitan datos longitudinales y experimentales para comprobar si los hallazgos del estudio se mantienen en un período determinado. Tercero, se utilizaron instrumentos de autoinforme, lo cual limita la evaluación de un fenómeno clínico. Cuarto, el mayor porcentaje de participantes fue del sexo femenino; lo cual puede ser un probable sesgo en los resultados. Además, en los criterios de inclusión se consideró a adultos jóvenes y adultos, recomendando no generalizar los resultados del estudio a otras etapas de desarrollo, ni mucho menos a otros departamentos del país.

Los resultados demuestran la utilidad del análisis de redes como método alternativo para explorar la comorbilidad psicopatológica.

Se evidenció que los problemas para relajarse y la calidad general del sueño eran los síntomas puente que unían la ansiedad y el insomnio. En ese sentido, los psiquiatras y psicólogos clínicos pueden considerar los resultados exploratorios de este estudio para dirigir su intervención terapéutica sobre la comorbilidad entre ambos problemas, aunque se necesitan más investigaciones para comprobar si la intervención en aquellos síntomas puente podría disminuir la comorbilidad entre la ansiedad y el insomnio. Las próximas investigaciones basadas en datos longitudinales pueden comprobar esta hipótesis y examinar los beneficios de la intervención terapéutica en estudios experimentales.

 

 

REFERENCIAS BIBLIOGRÁFICAS

1. Khan IW, Juyal R, Shikha D, Gupta R. Generalized Anxiety disorder but not depression is associated with insomnia: a population-based study. Sleep Sci. 2018; 11(3):166-73. DOI: 10.5935/1984-0063.20180031

2. Rogers AH, Wieman ST, Baker AW. Anxiety Comorbidities: Mood Disorders, Substance Use Disorders, and Chronic Medical Illness. En: Bui E, Charney ME, Baker AW. Clinical Handbook of Anxiety Disorders: From Theory to Practice. Berlin: Springer; 2020. p. 77-103.

3. Fabres L, Moya P. Sueño: conceptos generales y su relación con la calidad de vida. Rev med Clín Las Condes. 2021; 32(5):527-34. DOI: 10.1016/j.rmclc.2021.09.001

4. Bar M, Schrieber G, Gueron-Sela N, Shahar G, Tikotzky L. Role of Self-Criticism, Anxiety, and Depressive Symptoms in Young Adults' Insomnia. Int J Cogn Ther. 2020; 13:15-29. DOI: 10.1007/s41811-019-00058-2

5. Baños-Chaparro J. Síntomas depresivos en adultos peruanos: un análisis de redes. Rev virtual Soc Parag Med Int.2021; 8(2):1-12. DOI: 10.18004/rvspmi/2312-3893/2021.08.02.11

6. Baños-Chaparro J, Ynquillay-Lima P, Lamas Delgado F, Fuster Guillen FG. Análisis de redes de las conductas suicidas en adultos peruanos. Rev Cubana Med Milit. 2021 [acceso: 02/02/2022]; 50(3):e02101450. Disponible en: http://revmedmilitar.sld.cu/index.php/mil/article/view/1450/1004

7. Ramos-Vera C, Baños-Chaparro J, Ogundokun RO. The network structure of depressive symptomatology in Peruvian adults with arterial hypertension. F1000Research. 2021; 10:19. DOI: 10.12688/f1000research.27422.2

8. Borsboom D, Deserno MK, Rhemtulla M, Epskamp S, Fried EI, McNally RJ, et al. Network analysis of multivariate data in psychological science. Nat Rev Methods Primers. 2021; 1:58. DOI: 10.1038/s43586-021-00055-w

9. Fried EI, van Borkulo CD, Cramer AO, Boschloo L, Schoevers RA, Borsboom D. Mental disorders as networks of problems: a review of recent insights. Soc Psychiatry Psychiatr Epidemiol. 2017; 52:1-10. DOI: 10.1007/s00127-016-1319-z

10. Garabiles MR, Lao CK, Xiong Y, Hall BJ. Exploring comorbidity between anxiety and depression among migrant Filipino domestic workers: A network approach. J Affect Disord. 2019; 250:85-93. DOI: 10.1016/j.jad.2019.02.062

11. Karim MA, Ouanes S, Reagu SM, Alabdulla M. Network analysis of anxiety and depressive symptoms among quarantined individuals: cross-sectional study. BJPsych Open. 2021; 7(6):e222. DOI: 10.1192/bjo.2021.1060

12. Barthel AL, Pinaire MA, Curtiss JE, Baker AW, Brown ML, Hoeppner SS, et al. Anhedonia is Central for the Association between Quality of Life, Metacognition, Sleep, and Affective Symptoms in Generalized Anxiety Disorder: A Network Analysis. J Affect Disord. 2020; 277:1013-21. DOI: 10.1016/j.jad.2020.08.077

13. McElroy E, McIntyre JC, Bentall RP, Wilson T, Holt K, Kullu C, et al. Mental Health, Deprivation, and the Neighborhood Social Environment: A Network Analysis. Clin Psychol Sci. 2019; 7(4):719-34. DOI: 10.1177/2167702619830640

14. Nyer M, Farabaugh A, Fehling K, Soskin D, Holt D, Papakostas GI, et al. Relationship between sleep disturbance and depression, anxiety, and functioning in college students. Depress Anxiety. 2013; 30(9):873-80. DOI: 10.1002/da.22064

15. McGrath JJ, Lim CC, Plana-Ripoll O, Holtz Y, Agerbo E, Momen NC, et al. Comorbidity within mental disorders: a comprehensive analysis based on 145 990 survey respondents from 27 countries. Epidemiol Psychiatr Sci. 2020; 29:e153. DOI: 10.1017/S2045796020000633

16. Zhong QY, Gelaye B, Zazlavsky AM, Fann JR, Rondon MB, Sánchez SE, et al. Diagnostic Validity of the Generalized Anxiety Disorder - 7 (GAD-7) among Pregnant Women. PLoS ONE. 2015; 10(4):e0125096. DOI: 10.1371/journal.pone.0125096

17. Baños-Chaparro J, Fuster Guillen FG, Marín-Contreras J. Escala de Insomnio de Atenas: evidencias psicométricas en adultos peruanos. Liberabit. 2021; 27(1):e458. DOI: 10.24265/liberabit.2021.v27n1.07

18. Colegio de Psicólogos del Perú. Código de ética y deontología. 2017 [acceso: 04/02/2022]. Disponible en: http://api.cpsp.io/public/documents/codigo_de_etica_y_deontologia.pdf

19. Jones PJ. Networktools: Tools for identifying important nodes in networks. R package version 1.4.0. 2021 [acceso: 04/02/2022]. Disponible en: https://CRAN.R-project.org/package=networktools

20. Epskamp S, Borsboom D, Fried EI. Estimating psychological networks and their accuracy: A tutorial paper. Behav Res. 2018; 50:195-212. DOI: 10.3758/s13428-017-0862-1

21. Jones PJ, Ma R, McNally RJ. Bridge Centrality: A Network Approach to Understanding Comorbidity. Multivar Behav Res. 2021; 56(2):353-67. DOI: 10.1080/00273171.2019.1614898

22. Haslbeck JM, Waldorp LJ. How well do network models predict observations? On the importance of predictability in network models. Behav Res. 2018; 50:853-61. DOI: 10.3758/s13428-017-0910-x

23. Mamun MA, Akter S, Hossain I, Thanvir M, Faisal H, Rahman A, et al. Financial threat, hardship and distress predict depression, anxiety and stress among the unemployed youths: A Bangladeshi multi-city study. J Affect Disord. 2020; 276:1149-58. DOI: 10.1016/j.jad.2020.06.075

24. Mirchandaney R, Barete R, Asarnow LD. Moderators of Cognitive Behavioral Treatment for Insomnia on Depression and Anxiety Outcomes. Curr Psychiatry Rep. 2022; 24:1-8. DOI: 10.1007/s11920-022-01326-3

 

 

Conflicto de intereses

Los autores declaran no tener ningún conflicto de interés.

 

Contribuciones de los autores

Conceptualización: Jonatan Baños-Chaparro.
Curación de datos: Fernando Lamas Delgado, Paul Ynquillay-Lima.
Análisis formal: Jonatan Baños-Chaparro.
Investigación: Jonatan Baños-Chaparro, Fernando Lamas Delgado, Paul Ynquillay-Lima, Dante Jesus Jacobi-Romero, Fiorella Gaby Fuster Guillen.
Metodología: Jonatan Baños-Chaparro.
Administración del proyecto: Jonatan Baños-Chaparro.
Supervisión: Jonatan Baños-Chaparro.
Validación: Dante Jesus Jacobi-Romero, Fiorella Gaby Fuster Guillen.
Visualización: Jonatan Baños-Chaparro.
Redacción - borrador original: Jonatan Baños-Chaparro, Fernando Lamas Delgado, Paul Ynquillay-Lima, Dante Jesus Jacobi-Romero, Fiorella Gaby Fuster Guillen.
Redacción - revisión y edición: Jonatan Baños-Chaparro, Fernando Lamas Delgado, Paul Ynquillay-Lima, Dante Jesus Jacobi-Romero, Fiorella Gaby Fuster Guillen.