Artículo de investigación

 

Actitudes del autocuidado de pacientes con tuberculosis en enfermeros peruanos luego de un brote hospitalario

Self-care attitudes of tuberculosis patients in Peruvian nurses after a hospital outbreak

 

Jeel Moya-Salazar1,2* https://orcid.org/0000-0002-7357-4940
Jessica J. Siesquen3 https://orcid.org/0000-0001-6105-3008
Roberto Ubidia-Incio1,4 https://orcid.org/0000-0001-6980-526X
Víctor Rojas-Zumaran2 https://orcid.org/0000-0001-9859-684X
Belén Moya-Salazar5 https://orcid.org/0000-0003-2225-6253
Hans Contreras-Pulache1 https://orcid.org/0000-0003-2450-9349

 

1Universidad Privada Norbert Wiener. South America Center for Education and Research in Public Health. Lima, Perú.
2Universidad Tecnológica del Perú. Facultad de Ingeniería. Escuela de Ingeniería Biomédica. Lima, Perú.
3Universidad Norbert Wiener. Facultad de Ciencias de la Salud. Escuela de Enfermería. Lima, Perú.
4Space Generation Advisory Council. Viena, Austria.
5Universidad Norbert Wiener. Facultad de Ciencias de la Salud. Escuela de Medicina. Lima, Perú.

*Autor para la correspondencia. Correo electrónico: jeel.moya@uwiener.edu.pe

 

 


RESUMEN

Introducción: La tuberculosis es una de las principales causas de morbimortalidad en todo el mundo. Las medidas de prevención son clave para evitar su propagación y el contagio entre profesionales de salud.
Objetivo: Determinar las actitudes del autocuidado sobre la tuberculosis en el personal de enfermería luego de un brote infeccioso hospitalario.
Métodos: Estudio transversal, en personal de enfermería (n= 94; personal técnico n= 44; 46,8 %). Se incluyó al personal de enfermería voluntario > 18 años, de ambos sexos, que trabaje en el Departamento de Emergencia. Se usó el cuestionario de 15 ítems de Valle (2017), para estimar los conocimientos y actitudes sobre el autocuidado, 3 dimensiones: Prevención, diagnóstico y tratamiento de la tuberculosis.
Resultados: El promedio de edad de los participantes fue de 44,7 ± 8,8 años, el 88,3 % mujeres y el tiempo promedio de trabajo fue 11,2 ± 7,8 años. Se hallaron diferencias entre los años de servicio, entre los técnicos (8,55 ± 7,94 años) y profesionales (13,48 ± 6,98 años) (p< 0,001). El 100 % presentaron actitudes de aceptación del autocuidado en todas las dimensiones. El 4,5 % y el 27,3 % de técnicos presentaron actitudes de indiferencia en la dimensión diagnóstico y tratamiento de tuberculosis (p= 0,001).
Conclusiones: Existen actitudes favorables en el personal de enfermería sobre autocuidado de la tuberculosis luego de un brote en un hospital de Lima, aunque en técnicos de enfermería se reportan actitudes de indiferencia en el diagnóstico y tratamiento de tuberculosis.

Palabras clave: tuberculosis; autocuidado; control de enfermedades transmisibles; atención de enfermería; brote de enfermedades; Perú.


ABSTRACT

Introduction: Tuberculosis continues to be one of the main causes of morbidity and mortality worldwide. Prevention measures are key to prevent its spread and contagion among health professionals. The objective of the present study was to determine the self-care attitudes about tuberculosis in the nursing staff after a hospital infectious outbreak in Perú.
Method: A cross-sectional study was conducted in nursing staff (n= 94; technical staff n= 44, 46.8%). Volunteer nursing staff > 18 years old, of both sexes, and who work in the Emergency Department were included. The 15-item questionnaire from Valle (2017) was used to estimate knowledge and attitudes about self-care in nursing staff in 3 dimensions: prevention, diagnosis and treatment of tuberculosis.
Results: The average age of the participants was 44.7±8.8 years, 88.3 % were women, and the average working time was 11.2 ± 7.8 years. Difference was found between the years of service, among technicians (8.55 ± 7.94 years) and nursing professionals (13.48 ± 6.98 years) (p< 0.001). A hundred percent of nurses presented attitudes of acceptance of self-care in all dimensions; 4.5 % and 27.3% of nursing technicians presented attitudes of indifference in the tuberculosis diagnosis and treatment dimension (p= 0.001).
Conclusions: There are favorable attitudes in the nursing staff about self-care of tuberculosis after an outbreak in a hospital in Lima, although in nursing technicians we report attitudes of indifference in the diagnosis and treatment of tuberculosis.

Keywords: tuberculosis; self-care; communicable disease control; nursing care; disease outbreaks; Perú.


 

 

Recibido: 05/09/2022
Aprobado: 11/03/2023

 

 

INTRODUCCIÓN

La tuberculosis (TB) es una enfermedad infecto-contagiosa que afecta al sistema respiratorio, ocasionada por la especie Mycobacterium tuberculosis.(1) Se transmite mediante las partículas liberadas en los estornudos o tos de personas infectadas.(2) Actualmente es considerada como una de las principales causas de muerte en todo el mundo; ocupaba el puesto 13 en 2020 y concentra la mayor parte de casos en países con economías medianas a bajas. Según la Organización Mundial de la Salud(3) la cantidad de casos nuevos se ha reducido en un 2 % anual desde 2015; acumula así entre 2015 y 2020 una disminución del 11 %. La cantidad de fallecimientos ha disminuido de 7,1 millones a 5,8 millones entre 2019 y 2020 en todo el mundo

En Latinoamérica, la Organización Panamericana de la Salud(4) estima que 291 000 personas contrajeron TB durante el 2020. Los esfuerzos para controlar el avance de esta enfermedad en la región han logrado reducciones en la incidencia de 20 % y de 35 % de mortalidad entre 2015 y 2020. Los países latinos que reportan mayor incidencia son Brasil, Perú y México. En Perú, la TB muestra mayor concentración de casos nuevos y fallecimientos en Lima y Callao, donde se alcanzan, respectivamente, niveles de hasta 212 y 247 casos nuevos anuales por millón de habitantes, seguidos por Madre de Dios, Ucayali y Loreto (ciudades de la selva del Perú). Si bien los indicadores muestran una reducción en la incidencia entre 2010 y 2015, se considera que un porcentaje importante de casos no llega a ser diagnosticados, lo cual supone un mayor riesgo de contagio entre la población.(5)

El trabajador de la salud suele encontrarse expuesto a pacientes con TB de manera regular, en países con alta incidencia, como el Perú. Se ha observado dentro de este grupo, que el 38 % de los casos corresponde a técnicos de enfermería, el 24 % a médicos y el 17 % a enfermeras.(6) El nivel administrativo, ambiental y personal son los principales puntos críticos de control y prevención de la TB. Entre estos, el más importantes es el administrativo, ya que los otros 2 niveles dependen significativamente de las medidas de control administrativo establecidas apropiadamente.(7)

Por otra parte, el autocuidado permite, tanto a pacientes como al personal de salud, prevenir el contagio y la aparición de complicaciones que puedan retardar la curación de la enfermedad.(8) Estos conocimientos incluyen conocimientos básicos, métodos de diagnóstico y el esquema farmacológico referente a la enfermedad, que son clave tanto para el tratamiento como para la prevención de la TB. Sin embargo, estudios como el de Rodríguez F y otros(9) en 2020 muestran que el personal de enfermería maneja un conocimiento insuficiente sobre la TB. De este estudio se desprende que al menos la mitad del personal no conoce las condiciones de la conducta con las muestras de esputo.

La importancia de la correcta implementación y seguimiento a estas medidas se puede evidenciar en un brote ocurrido en 2018, en el Hospital de Angamos, del tercer nivel, que es el caso de estudio de este artículo, donde un número importante de trabajadores de salud de esta institución resultó contagiado. Este tipo de casos pone en evidencia la necesidad de gestionar correctamente el cumplimiento de los protocolos de bioseguridad y otros aspectos relacionados con el contagio de los trabajadores.(10)

El objetivo de este estudio es determinar las actitudes del autocuidado sobre la TB en el personal de enfermería, luego de un brote infeccioso hospitalario.

 

 

MÉTODOS

Diseño del estudio, población y criterios de inclusión

Estudio transversal basado en encuestas, en personal de enfermería (n= 94; personal técnico y profesionales) del Servicio de Emergencia del Hospital III Suarez Angamos en Lima, Perú. Este hospital es parte de EsSalud y brinda atención a pacientes de todas las edades, con alrededor de 330 camas. Los criterios de inclusión fueron: personal de enfermería voluntario, > 18 años, de ambos sexos y que trabaje en el Departamento de Emergencia. Se excluyó al personal administrativo y con descanso médico, licencia o vacaciones durante el estado de emergencia por la COVID-19.

Variables e instrumento

Las variables incluidas en el estudio fueron tiempo de trabajo (agrupado por cada quinquenio laboral, es decir de 1 a 5 años, de 6 a 10 años, de 15 a 20 años y > 21 años de trabajo asistencial), y el grupo etario (agrupados en 3 categorías, la primera de 29 a 40 años, la segunda de 41 a 59 años y la tercera a los > 60 años). Además, se utilizaron las variables de los conocimientos y actitudes sobre autocuidado, el sexo, y el grupo profesional (agrupado en técnicos y profesionales de enfermería)

Como instrumento se utilizó el cuestionario de Valle(11) para estimar los conocimientos y actitudes sobre el autocuidado en el personal de enfermería. Este cuestionario autoadministrado consta de 15 preguntas, de las cuales 5 están orientadas al conocimiento sobre la prevención de la tuberculosis, 5 al diagnóstico y 5 al tratamiento. En vista de esto se obtiene un análisis dimensional con la dimensión Prevención, Diagnóstico y Tratamiento de tuberculosis. El cuestionario presenta una escala Likert en la cual cada pregunta tiene 5 opciones, que oscilan entre "1", que indica un completo desacuerdo, al "5", que indica un completo acuerdo. Los resultados de cada sección del cuestionario se categorizaron en base a la suma de puntos de un total de 25. Se considera aceptación a totales de 20 a 25 puntos, indiferencia a totales entre 15 y 19 puntos y rechazo cuando el puntaje es menor de 15 puntos.

Procesamiento y análisis de datos

El cuestionario fue administrado a primera hora antes de las actividades asistenciales y tuvo una duración de ~10 minutos incluyendo la presentación del estudio y el llenado del consentimiento informado. Los datos recolectados fueron codificados e incluidos en la base de datos del software IBM SPSS v24,0 (Armonk, US). Se les aplicó inicialmente la prueba de Kolmogórov-Smirnov para determinar la normalidad de los datos; mostraron una distribución normal (p> 0,05). Se utilizó el test t pareado y ANOVA de una vía para determinar las diferencias entre el autocuidado de técnicos de enfermería y profesionales de enfermería. Se determinaron las diferencias entre dimensiones del autocuidado y las características de trabajo. Para todas las pruebas se consideró un umbral de significación de 0,05 y un intervalo de confianza de 95 % como significativo.

Aspectos éticos

Este estudio tuvo la aprobación por el Comité de Ética de la Universidad Norbert Wiener (Nº UNW-001-0015-2019), cumpliendo con los lineamientos de buena práctica en investigación y con los principios del código de Helsinki.(12)

 

 

RESULTADOS

El promedio de edad de los participantes de fue de 44,7 ± 8,8 años (IC95 %: 42,9 - 46,5) y el grupo etario más frecuente fue el de 41 a 59 años con 60,6 % de participantes (tabla 1). El 88,3 % fueron mujeres y el tiempo promedio de trabajo fue de 11,2 ± 7,8 años (IC95 %: 9,6 - 12,7). Más de la mitad de participantes tuvieron menos de 10 años de trabajo en enfermería. Se hallaron diferencias según las características demográficas de los participantes del estudio (p< 0,05).

 

 

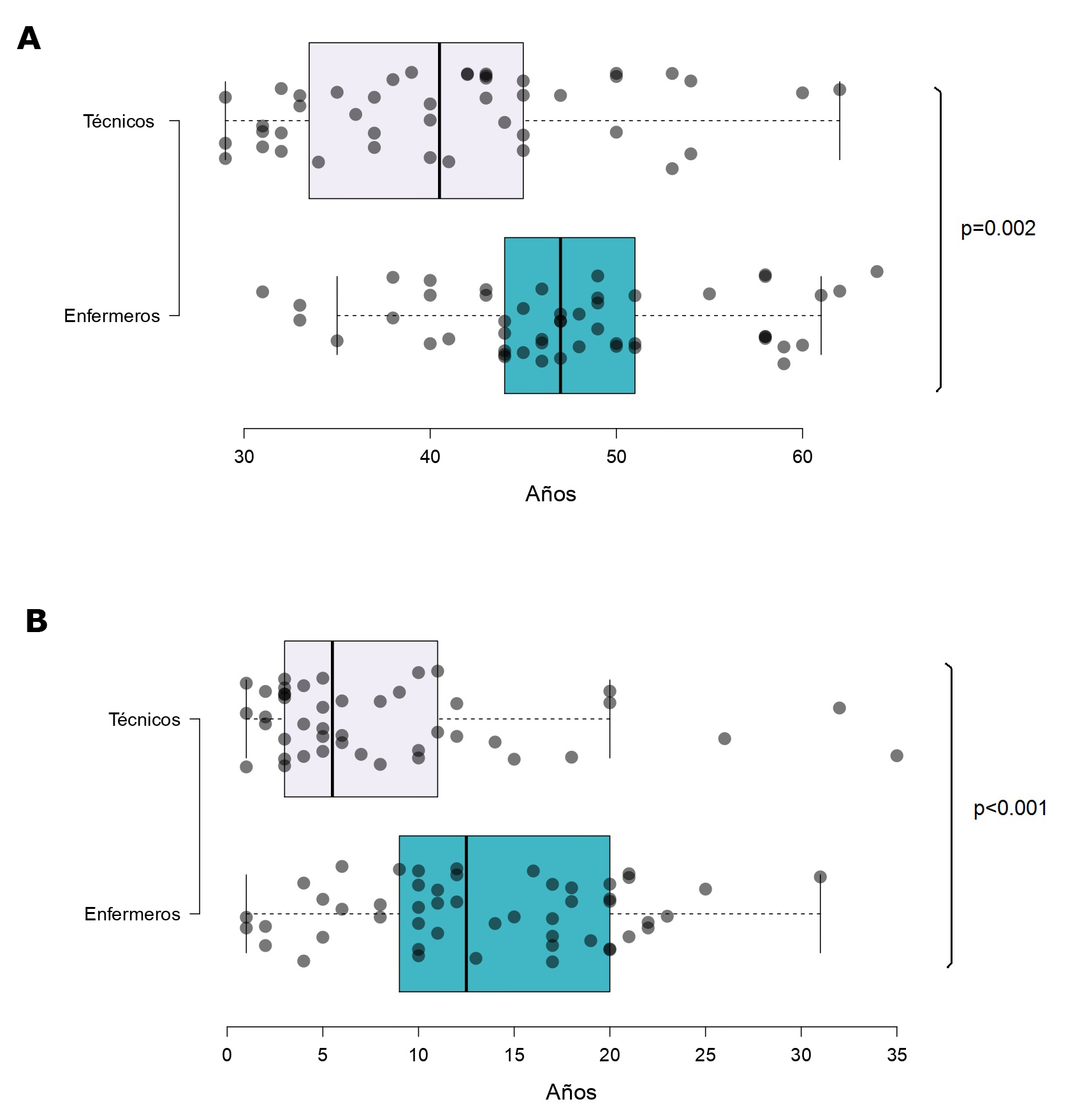
En la figura 1 (Ver figura en alta resolución) se muestran las diferencias según la edad y el tiempo de trabajo de los participantes. Cuando se comparó la diferencia entre los años de servicio, entre los técnicos (8,55 ± 7,94 años) y profesionales de enfermería (13,48 ± 6,98 años) se encontraron diferencias significativas (p< 0,001). De la misma forma, cuando se comparó las edades de los técnicos (41,11 ± 8,46 años) y los profesionales de enfermería (47,84 ± 7,97 años) se hallaron diferencias significativas (p= 0,002).

 

 

La evaluación multidimensional del autocuidado permitió estimar diferencias entre los profesionales de enfermería y técnicos (p= 0,001). No se determinaron actitudes de rechazo en ninguna de las dimensiones. Todos los participantes presentaron una actitud de aceptación de la prevención de TB, mientras que sobre el diagnóstico de TB 2 (4,5 %) de técnicos de enfermería presentaron una actitud de indiferencia, aunque no se evidenciaron diferencias significativas (p= 0,130). Finalmente, en la dimensión tratamiento de TB, 12 (27,3 %) técnicas de enfermería presentaron una actitud indiferente en comparación con las enfermeras don de todas tuvieron actitudes de aceptación (tabla 2).

 

 

 

DISCUSIÓN

En este estudio se demostraron actitudes de aceptación del autocuidado sobre la TB por el personal de enfermería, mientras que en el personal técnico se evidenciaron actitudes de indiferencia en el tratamiento y diagnóstico de la TB luego de un brote hospitalario.

La principal fortaleza de este estudio es que evalúa el autocuidado de los profesionales de enfermería, inmediatamente después de un brote hospitalario de TB. Algunos estudios,(13,14) peruanos también estiman los niveles de autocuidado a TB, pero ninguno caracteriza las actitudes de los profesionales luego de un brote. En ese sentido, este sería el primer reporte de esa magnitud en un hospital terciario. Otra fortaleza es que se comparan las actitudes entre técnicos y profesionales de enfermería y se hallan importantes diferencias sobre las prácticas de autocuidado.

Los hallazgos concuerdan con lo encontrado por Araya C y otros,(15) que reportan que más del 50 % de los funcionarios de salud conocen los sistemas comunes de la transmisión de TB, el 56,76 % conoce el nombre del test (baciloscopía) que diagnostica la TB, el 97 % usa mascarillas para prevenir contagio, el 51 % esteriliza los equipos y herramientas, luego de asistir a un paciente con TB y el 56,76 % respondió de manera correcta la medicación que se aplica. De igual manera, estos resultados son avalados parcialmente por el estudio de Valle,(11) que identifica una actitud de aceptación de la prevención y diagnóstico de la TB en el 65 % de profesionales de la salud de Ecuador y 64 % tuvo una actitud de aceptación del tratamiento de la TB. Por último, los resultados del estudio de Rojas,(14) también indican que el 72 % de los profesionales de enfermería de Lima, poseen un nivel de conocimiento alto sobre la TB, aunque con altas tasas de cumplimiento de las actividades de prevención.

Por otro lado, la alta frecuencia de autocuidado frente a la TB hallada en el estudio, no concuerda con estudios previos, como el estudio de Muñoz y otros(16) que ha demostrado que el 100 % de participantes colombianos de salud, presentan una incompleta implementación de las medidas de control de la TB. El estudio de Romaní y otros(17) también discrepa con los hallazgos del presente estudio, ya que en 178 profesionales de la salud (médicos y enfermeras), 89,9 % no conocía la definición de paciente "sintomático respiratorio", 60,8 % declaró haber leído e interiorizado la norma técnica peruana contra la TB, 22,5 % reconocía el indicador que evalúa la calidad de detección de pacientes sospechosos y solo 28,1 % conoce del indicador de desempeño del profesional para ejecutar la baciloscopia, entre los sintomáticos respiratorios identificados. Las diferencias con estos estudios pueden deberse a las características de los participantes incluidos (profesionales de la salud vs. personal de enfermería) en el estudio, así como también a la especialidad y a los servicios a los que pertenecen los participantes (unidad de cuidado críticos, área de emergencia, área COVID-19).

Es interesante que todos los participantes que mostraron indiferencia sobre el autocuidado fueron técnicos de enfermería. Esta característica de los participantes difiere del estudio de Fadare y otros(18) en el cual se ha demostrado un adecuado conocimiento y uso de medidas de protección frente a la tuberculosis en Nigeria. Además, se hallaron diferencias entre enfermeros y técnicos, en dimensión tratamiento y diagnóstico de la TB. Estos resultados no concuerdan con el estudio de Valle(11) en la proporción de enfermeros ecuatorianos con actitudes de indiferencia sobre el diagnóstico (4,5 % vs. 13 %) y tratamiento de la TB (27,3 % vs. 4 %). Estas diferencias pueden deberse al distinto programa de atención y nivel de especialización, que pueden tener los técnicos de enfermería peruanos frente a los enfermeros ecuatorianos. Otra posible explicación, es el grado de capacitación y concientización sobre las medidas de prevención secundaria y terciaria frente a la TB, pues en entornos donde existen limitaciones es más difícil que las actividades educativas calen como parte del ideario de atención en salud de los profesionales.

La teoría de autocuidado describe las razones y las maneras en que las personas cuidan de sí, mientras que la teoría de déficit explica como las enfermeras pueden ayudar a los demás ciudadanos (pacientes con TB) y la teoría de sistemas explica las relaciones que se deben mantener.(19) Englobar al ser humano como una actividad organizada(20) permite comprender cómo el mantener los procesos informacionales internos, en permanencia con la sociedad, logra mantener las funciones biológicas y evitar el desarrollo de infecciones, como en el caso de TB. El autocuidado en una enfermedad altamente prevalente como la TB resulta clave ya que permitirá mejorar la rehabilitación y el tratamiento de la enfermedad en los pacientes infectados, así como durante su relación con los profesionales de enfermería. Además, este autocuidado resulta esencial cuando la TB se presenta en poblaciones con TB con síntomas no típicos(21) y en poblaciones que presentan características epidemiológicas diferentes, como la andina o indígenas, en las cuales las enfermedades respiratorias pueden incrementar el riesgo de morbimortalidad, tal como se ha reporta recientemente con la COVID-19. (22)

En la experiencia de los autores, el brote de TB no solo ha desarrollado una vigilancia epidemiológica más asidua, si no que ha logrado impactar en el aprendizaje de los profesionales de la salud sobre el autocuidado, conforme indican los resultados. Aunque no se puede atribuir directamente que las actividades de prevención durante el brote de TB han direccionado las actitudes de autocuidado, se reporta inmediatamente luego del evento epidemiológico 100 % de actitudes de aceptación del autocuidado en enfermeras y entre 72 % y 100 % de actitud de aceptación en técnicos de enfermería. Además, se reportan actitudes de rechazo de prevención, diagnóstico o tratamiento de TB por ninguno de los participantes.

Es posible que las actitudes de autocuidado por cada enfermedad se refuercen y generen un efecto "bola de nieve", mejoren las actitudes para otras enfermedades. La COVID-19, en un hecho sin precedentes, ha cambiado la dinámica de atención sanitaria en todo el mundo, impactando también en las actitudes de autocuidado.(23) Además, debido a la pandemia generada por el virus SARS-CoV-2, ha habido un incremento significativo en nuevos casos de TB.(24) Es necesario que se desarrollen estudios futuros que evalúen las actitudes del autocuidado en ambas enfermedades infecciosas en profesionales de enfermería.

Este estudio tuvo limitaciones; primero, debido al diseño metodológico solo se evaluó un centro de salud. Segundo, se centró en analizar profesionales de enfermería, sin embargo, las actitudes de autocuidado frente a la TB pueden variar con otros profesionales de la salud. Tercero, no se realizó un seguimiento en los niveles de aceptación del autocuidado frente a la TB y pueden existir cambios con la llegada de nuevas enfermedades como la COVID-19.

Existen actitudes de autocuidado favorables sobre autocuidado de la TB en el personal de enfermería, luego de un brote en un hospital de Lima. Sin embargo, en técnicos de enfermería se reportan actitudes de indiferencia en el diagnóstico y tratamiento de la TB, por lo que resulta clave realizar actividades educativas y seguimiento, para incrementar las actitudes favorables de autocuidado y reducir la probabilidad de contraer la infección.

 

 

REFERENCIAS BIBLIOGRÁFICAS

1. Navarro Y, Castro M. Modelo de Dorothea Orem aplicado a un grupo comunitario a través del proceso de enfermería. Enfermería Global 2010 [acceso: 20/08/2022]; (19):1-14. Disponible en: http://scielo.isciii.es/pdf/eg/n19/clinica3.pdf

2. Kon OM. Tuberculosis in Clinical Practice. New York: Springer; 2021.

3. World Health Organization. Global tuberculosis report 2020. Geneva, Switzerland: WHO; 2020. Disponible en: https://www.who.int/publications/i/item/9789240013131

4. Pan American Health Organization. Tuberculosis in the Americas. Regional Report 2020. Washington, D.C.: Pan American Health Organization; 2021 [acceso: 14/02/2023]. Disponible en: https://iris.paho.org/handle/10665.2/55194

5. Alarcón V, Alarcón E, Figueroa C, Mendoza-Ticona A. Tuberculosis en el Perú: Situación epidemiológica, avances y desafíos para su control. Rev Peru Med Exp Salud Publica. 2017; 34(2):299-310. DOI: 10.17843/rpmesp.2017.342.2384

6. Renjifo P. Situación epidemiológica de la Tuberculosis en trabajadores de salud Peru 2013 - SE41 del 2021. Lima: Centro Nacional de Epidemiología, Prevención y Control de Enfermedades; 2021 [acceso: 14/02/2023]. Disponible en: http://www.dge.gob.pe/portal/docs/tools/teleconferencia/2021/SE422021/03.pdf

7. Granich R, Binkin N, Jarvis W, Simone P, Rieder H, Espinal M, Kumaresan J. Normas para la Prevención de la trasmisión de la tuberculosis en los establecimientos de asistencia sanitaria en condiciones de recursos limitados. Organización Mundial de la Salud; 2002. [acceso: 20/08/2022]. Disponible en: https://www.who.int/tb/publications/who_tb_99_269_sp.pdf

8. Abiz M, Robabi H, Salar A, Saeedinezhad F. The Effect of Self-Care Education on the Quality of Life in Patients with Pulmonary Tuberculosis. Med Surg Nurs J. 2020; 9(2):e108877. DOI: 10.5812/msnj.108877

9. Rodriguez F., Sánchez S. Conocimientos, prácticas y actitudes de enfermería para la atención de personas con tuberculosis. Enferm Unive. 2020; 17(1):76-86. DOI: 10.22201/eneo.23958421e.2020.1.713

10. Moncada S. Médicos del Hospital Essalud Angamos denuncian contagio de TBC. Consejo Regional III, Lima; 19 de noviembre del 2018. [acceso: 20/08/2022]. Disponible en: http://cmplima.org.pe/medicos-hospital-essalud-angamos-denuncian-contagio-tbc/

11. Valle J. Conocimientos y actitudes sobre tuberculosis del personal de salud del Centro 1, Chontacruz, Comunidades, La Pradera, San Lucas, Santiago y Zamora Huayco, del Distrito 11D01 Loja, período mayo-octubre 2016. [Tesis para la obtención del título de médico general]. Loja - Ecuador: Universidad Nacional de Loja Facultad de salud Humana Carrera de Medicina; 2017. [acceso: 20/08/2022]. Disponible en: https://dspace.unl.edu.ec/jspui/bitstream/123456789/19573/1/TESIS%-20JUNIOR%20VALLE.pdf

12. World Medical Association. World Medical Association Declaration of Helsinki: ethical principles for medical research involving human subjects. JAMA. 2013; 310(20):2191-4. DOI: 10.1001/jama.2013.281053.

13. Longobardi G. Nivel de conocimiento en tratamiento de tuberculosis en médicos de la región Lambayeque setiembre - 2015. [Tesis para obtener el título de Médico Cirujano]. Lambayeque -Perú: Universidad San Martin de Porres, Facultad de Medicina Humana; 2017. [acceso: 20/08/2022]. Disponible en: https://repositorio.usmp.edu.pe/bitstream/handle/20.500.12727/2540/LO-NGOBARDI_G.pdf?sequence=1&isAllowed=y

14. Rojas E. Nivel de conocimiento y grado de cumplimiento de las medidas de bioseguridad en el uso de la protección personal aplicados por el personal de enfermería que labora en la estrategia nacional de control y prevención de la tuberculosis de una red de salud - Callao 2015. [Tesis de Licenciatura en Enfermería]. Lima - Perú: Universidad Nacional Mayor de San Marcos; 2015. [acceso: 20/08/2022]. Disponible en: https://cybertesis.unmsm.edu.pe/handle/20.500.12672/4173

15. Araya C, Castillo F, Mora F, Cifuentes M, Muñoz D. Nivel de conocimiento sobre la tuberculosis en los funcionarios del CESFAM Boca Sur, San Pedro de la Paz. 2014. [Tesis para la obtención del título de médico general]. Concepción: Facultad de odontología, Universidad de Concepción; 2014. [acceso: 20/08/2022]. Disponible en: http://repositorio.udec.cl/bitstream/11594/1646/1/trabajo%20de%20inve-stigacion.Image.Marked.pdf

16. Muñoz A, Castro Y. Medidas de control de tuberculosis en una institución de salud de Bogotá D.C. Rev Fac Nac Salud Pública 2016; 34(1):38-47. DOI: 10.17533/udea.rfnsp.v34n1a05

17. Romani RFR, Roque HJ, Catacora LF, Hilasaca YG. Conocimientos, percepciones y prácticas de personal de salud en la detección de sintomáticos respiratorios en una región de muy alto riesgo de trasmisión de tuberculosis en el Perú. An Fac Med. 2016; 77(2):123-127. DOI: 10.15381/anales.v77i2.11816

18. Fadare RI, Akpor OA, Ifechukwude IG, Richard DA, Bello AB. Nurses' Safety in Caring for Tuberculosis Patients at a Teaching Hospital in South West Nigeria. J Envirom Pub Health. 2020; 2020:3402527. DOI: 10.1155/2020/3402527

19. Renpenning K, Taylor S. Self- Care Theory in Nursing: Selected Papers of Dorothea Orem. New York: Springer Publishing Company; 2003.

20. Moya-Salazar J, Contreras-Pulache L, Lam-Figueroa N, Contreras-Pulache H. An informational sociobiological explanation of the constitution of the human body. F1000research 2021; 10:1253. DOI: 10.12688/f1000research.53600.1

21. Moya-Salazar J, Nemolato ARM, Samán VJ, Pasco CIA, Olivo-López JM. Extra-pulmonary and pulmonary Tuberculosis among elderly Peruvian patients. J Immunol Microbiol. 2018 [acceso: 22/08/2022]; 2(1):4. Disponible en: https://www.imedpub.com/articles/extrapulmonary-and-pulmonary-tuberculosis-among-elderly-peruvian-patients.php?aid=22584

22. Moya-Salazar J, Cañari B, Sánchez-Llanos A, Hernández SA, Eche-Navarro M, Salazar-Hernandez R, Contreras-Pulache H. Risk factors in adults with COVID-19 in Peruvian mountains: a retrospective cohort study. Infectio 2021: 25(4):256-261. DOI: 10.22354/in.v25i4.957

23. Kiel LT, Young CC, Papermaster AE. An epidemic amidst a pandemic: A call for self-care for nurses. American Nurse. 19 de noviembre del 2021. [acceso: 20/08/2022]. Disponible en: https://www.myamericannurse.com/an-epidemic-amidst-a-pandemic-a-call-for-self-care-for-nurses/

24. Khan FMA, Kazmi Z, Hasan MM, Dos Santos Costa AC, Ahmad S, Essar MY. Resurgence of tuberculosis amid COVID-19 in Peru: Associated risk factors and recommendations. Int J Health Plann Manage. 2021; 36(6):2441-2445. DOI: 10.1002/hpm.3291

 

 

Conflictos de interés

Los autores plantean no tener conflictos de interés en relación con el artículo que se presenta.

 

Contribuciones de los autores

Conceptualización: Jeel Moya-Salazar, Jessica J. Siesquen, Hans Contreras-Pulache.
Curación de datos: Jeel Moya-Salazar, Jessica J. Siesquen, Roberto Ubidia-Incio, Belén Moya-Salazar.
Análisis formal: Jeel Moya-Salazar, Jessica J. Siesquen, Roberto Ubidia-Incio, Víctor Rojas-Zumaran.
Adquisición de fondos: Jessica J. Siesquen, Hans Contreras-Pulache.
Investigación: Jeel Moya-Salazar, Jessica J. Siesquen, Roberto Ubidia-Incio, Víctor Rojas-Zumaran.
Metodología: Jeel Moya-Salazar, Belén Moya-Salazar, Hans Contreras-Pulache.
Administración del proyecto: Hans Contreras-Pulache.
Supervisión: Víctor Rojas-Zumaran.
Validación: Jeel Moya-Salazar, Roberto Ubidia-Incio, Hans Contreras-Pulache.
Redacción - borrador original: Jeel Moya-Salazar, Jessica J. Siesquen, Roberto Ubidia-Incio, Belén Moya-Salazar, Hans Contreras-Pulache.
Redacción - revisión y edición: Jeel Moya-Salazar, Jessica J. Siesquen, Víctor Rojas-Zumaran, Hans Contreras-Pulache.